Review
참고 포스팅 :
2021.12.12 - [Statistics/Time Series Analysis] - [시계열분석] 자기회귀모형(Autoregressive Model ; AR Model)
[시계열분석] 자기회귀모형(Autoregressive Model ; AR Model)
Review 참고 포스팅 : 2021.07.02 - [Statistics/Econometrics] - [계량경제학] AR모형의 간단한 소개 [계량경제학] AR모형의 간단한 소개 안녕하십니까, 간토끼입니다. 이번 포스팅은 앞으로의 포스팅에 조금이
datalabbit.tistory.com
안녕하십니까, 간토끼입니다.
오늘은 지난 포스팅에서 다루었던 AR모형의 친구격인 MA모형에 대해 다뤄보도록 하겠습니다.

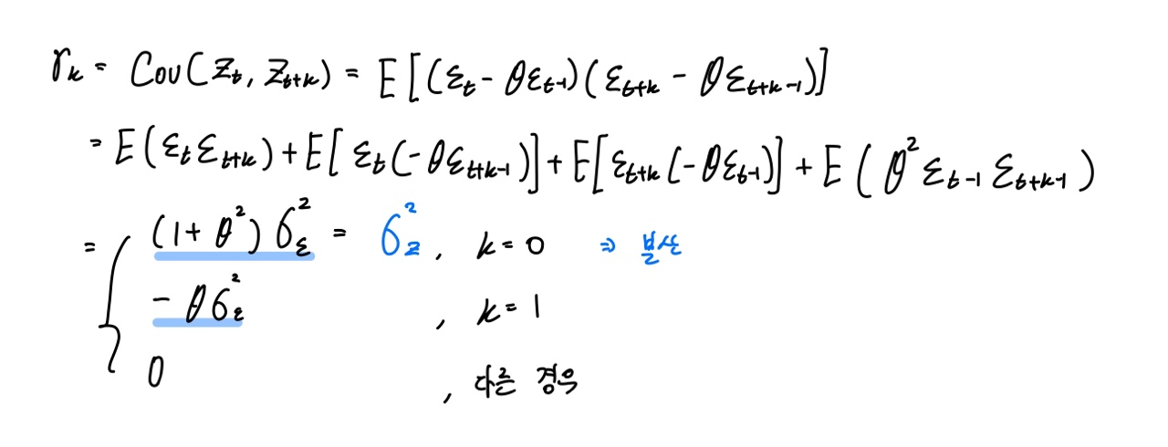
{ε_t}가 기댓값이 0이고 분산이 σ^2인 백색잡음과정을 따른다고 가정합시다.

이때 위와 같은 확률과정 Z_t를 생각해보면, 위 확률과정은 상수 μ와 백색잡음과정을 따르는 ε들로 이루어져 있죠.
그러므로 모든 시점 t에 대하여 확률과정 Z_t의 기댓값은 μ가 됩니다.

이어서 자기공분산함수를 구해보면 k값에 따라 위와 같이 정의됩니다.

따라서 우리는 위와 같은 사실을 파악할 수 있습니다.
이 확률과정의 평균과 분산은 시간 t와 무관하고,
자기공분산도 시간 t의 함수가 아닌 시차 k에 의존하는 함수라는 것이죠.
그러므로 우리가 이전에 정의한 정상성(Stationarity)에 부합합니다. 정상 확률과정이라고 할 수 있겠네요.
2021.07.04 - [Statistics/Time Series Analysis] - [시계열분석] 정상성(Stationarity)
[시계열분석] 정상성(Stationarity)
Review 참고 포스팅 : 2021.02.02 - [Statistics/Time Series Analysis] - [시계열분석] 확률과정(Stochastic Process) [시계열분석] 확률과정(Stochastic Process) 안녕하십니까, 간토끼입니다. 이번 포스팅은 확..
datalabbit.tistory.com

위 성질을 만족하는 모형을 이동평균과정(Moving Average Process) 혹은 MA모형이라고 부릅니다.

앞서 다루었던 AR모형과 마찬가지로 차수에 따라 MA(q) 모형이라고 부르고, 예시로 든 위 모형은 차수가 1 이므로 MA(1) 모형, 혹은 1차 이동평균과정이라고 부릅니다.


정상성 논의에서 피하기 어려웠던 AR(p) 모형과는 다르게,
유한개의 시차항 q개를 갖는 MA(q) 과정은 항상 정상성을 만족합니다. 그러므로 항상 정상 확률과정입니다.
참고하시면 되겠습니다.

앞서 시계열분석 카테고리에서 다루었던 이동평균법과 명칭이 유사하여 헷갈리는 분들도 계실텐데요.
이동평균과정에서 먼저 "이동"은 모형의 평균 μ를 중심으로 백색잡음과정을 따르는 ε 들로 인해 시계열이 위아래로 이동한다는 의미입니다.
그리고 "평균"은 위아래로 움직이는 정도를 백색잡음과정 ε의 t시점의 값과 과거 시점의 값들의 가중합했다는 의미로 이해하시면 됩니다.
자 그러면 AR모형과 마찬가지로, ACF와 PACF를 구해보도록 하겠습니다.
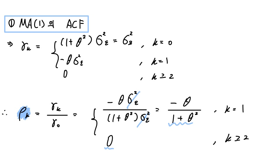
1. MA(1)의 ACF

먼저 자기공분산함수는 앞서 구한 것과 같이 구하면 되겠죠?
ACF는 k-시차의 자기공분산함수를 분산으로 나눠준 것이니, 정의에 따라 값을 구하면 위와 같습니다.
시차가 1일 때는 값이 존재하지만, 시차가 2 이상부터는 ACF의 값이 0이 됩니다.
이는 시차가 2 이상인 시계열들은 서로 상관관계가 없음을 의미하며, AR(1) 과정의 PACF처럼 시차 1 이후에는 0이 됩니다.
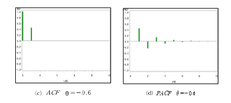
2. MA(1)의 PACF

PACF도 더빈-레빈슨 알고리즘에 의해 도출하면 위와 같습니다.
결론은 지수적으로 감소하는 형태를 보임을 알 수 있는데요.
여기서 흥미로운 점은 AR(1)에서 구한 것과 정반대의 양상을 보인다는 것입니다.AR(1)에서는 ACF가 지수적으로 감소하였고, PACF가 시차가 1일 때만 값이 존재하고 2 이상부터는 0이었는데,MA(1)에서는 ACF가 시차가 1일 때만 값이 존재하고 2 이상부터는 0이었고, PACF는 지수적으로 감소하는 모습을 보인다는 거죠!


그리고 MA(1)의 계수 θ가 음수라면 ACF는 양의 값을 갖고, PACF는 양과 음의 값을 번갈아 가지며 감소하는 사인함수의 형태를 보임을 알 수 있습니다.
AR(1)의 양상과 정반대네요!
여기서 정리하고 가는 MA(q) 모형의 특징!
1. MA(q) 모형의 ACF는 lag = q 까지만 값을 가지고, 그 이후는 0의 값을 가진다.
2. MA(q) 모형의 PACF는 지수적으로 감소하거나 양과 음의 값을 번갈아 가지며 감소하는 형태를 보인다.

그러므로 위 ACF를 보면 k=2에서 끊기고, PACF를 보면 양과 음의 값을 번갈아가며 소멸하는 사인함수의 모습을 보이고 있으니 우리가 가진 데이터는 MA(2)를 따르는 데이터구나~ 유추할 수 있습니다.
쉽죠?
다음 포스팅에서는 이 둘을 결합한 ARMA 모형에 대해 다뤄보도록 하겠습니다.
감사합니다.
잘 읽으셨다면 게시글 하단에 ♡(좋아요) 눌러주시면 감사하겠습니다 :)
(구독이면 더욱 좋습니다 ^_^)
- 간토끼(DataLabbit)
- University of Seoul
- Economics & Data Science
'Statistics > Time Series Analysis' 카테고리의 다른 글
| [시계열분석] 자기회귀모형(Autoregressive Model ; AR Model) (1) | 2021.12.12 |
|---|---|
| [시계열분석] 부분자기상관함수(Partial Autocovariance Function, PACF) (2) | 2021.07.14 |
| [시계열분석] 자기상관함수(AutoCovariance Function; ACF) (0) | 2021.07.12 |
| [시계열분석] 확률보행과정(Random Walk Process) (4) | 2021.07.11 |
| [시계열분석] 백색잡음과정(White Noise Process) (0) | 2021.07.05 |
