Review
참고 포스팅 :
2021.07.04 - [Statistics/Time Series Analysis] - [시계열분석] 정상성(Stationarity)
[시계열분석] 정상성(Stationarity)
Review 참고 포스팅 : 2021.02.02 - [Statistics/Time Series Analysis] - [시계열분석] 확률과정(Stochastic Process) [시계열분석] 확률과정(Stochastic Process) 안녕하십니까, 간토끼입니다. 이번 포스팅은 확..
datalabbit.tistory.com
안녕하십니까, 간토끼입니다.
이번 포스팅은 정상성(Stationarity)을 갖는 정상 시계열 중 하나인 백색잡음과정(White Noise Process)에 대해 다뤄보도록 하겠습니다.

백색잡음과정(White Noise Process)

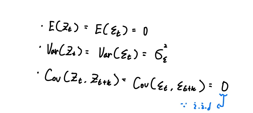
백색잡음과정(White Noise Process)이란 서로 독립이고 동일한 분포를 따르는(independently and identically distributed; i.i.d) 확률변수들의 계열로 구성된 확률과정으로서,
ε_t들이 서로 독립이고 평균 0, 분산 σ^2 을 갖는 확률변수라고 할 때 ε ~ WN(0, σ^2) 라고 표기할 수 있습니다.

백색잡음과정의 평균, 분산은 정상 시계열이므로 당연히 시점 t에 무관한 상수이고,
공분산은 i.i.d라고 하였으니 독립이면 당연히 공분산도 0이죠. 이 또한 시점 t에 무관하다고 할 수 있습니다.
교재에 따라서는 오차항들이 서로 독립이라는 i.i.d 가정 대신에 서로 상관관계가 없다는 비교적 약한 가정을 이용하여 백색잡음과정을 정의하더라고요.
참고하시면 될 것 같습니다.

따라서 백색잡음과정의 경우, 위와 같이 그려집니다.
보시다시피 평균과 분산이 일정함을 알 수 있고, 어떠한 추세도 관측되지 않죠.
대표적인 정상 시계열이라고 할 수 있습니다.
다음 포스팅에서는 비정상시계열 중 하나인 확률보행과정(Random Walk Process), 랜덤워크 등으로 불리는 과정에 대해 다뤄보도록 하겠습니다.
감사합니다.
잘 읽으셨다면 게시글 하단에 ♡(좋아요) 눌러주시면 감사하겠습니다 :)
(구독이면 더욱 좋습니다 ^_^)
- 간토끼(DataLabbit)
- University of Seoul
- Economics & Data Science
'Statistics > Time Series Analysis' 카테고리의 다른 글
| [시계열분석] 자기상관함수(AutoCovariance Function; ACF) (0) | 2021.07.12 |
|---|---|
| [시계열분석] 확률보행과정(Random Walk Process) (4) | 2021.07.11 |
| [시계열분석] 정상성(Stationarity) (2) | 2021.07.04 |
| [시계열분석] 확률과정(Stochastic Process) (0) | 2021.02.02 |
| [시계열분석] 이동평균법(Moving Average Method)에 의한 분해(2) (0) | 2021.01.18 |
