안녕하십니까, 간토끼입니다.
이번 포스팅에서는 시계열자료의 특성을 파악할 수 있는 중요한 지표 중 하나인 자기상관함수(AutoCovariance Function; ACF)에 대해 다뤄보도록 하겠습니다.


항상 강조하는 것이지만 시계열 자료가 다른 자료, 대표적으로 횡단면 자료와 가장 큰 차이를 보이는 것은 바로 자료의 index가 시간(Time)이라는 것이고, 이로 인해 현재의 상태가 과거, 미래의 상태와 매우 밀접한 관련을 갖고 있다는 것입니다.
바로 시간의 흐름에 따라 독립적이지 않다는 것이죠.
오늘 주식의 가격이 어제의 가격에 영향을 받고, 내일의 가격에 영향을 주는 것처럼요.
이러한 경우 시계열 자료는 자기상관관계를 갖는다고 합니다.
이처럼 시간에 따른 상관 정도를 나타내기 위해서는 다음과 같은 통계량을 사용하는데요.
바로 자기상관함수(Autocovariance Function)입니다.

만약 k-시차 만큼 떨어진 시계열자료 Z_t와 Z_t+k 가 있다고 할 때,
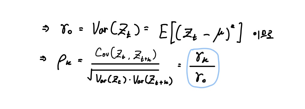
이 두 자료의 자기상관함수(자기공분산함수)는 위와 같이 쓸 수 있습니다.
그냥 공분산과 같죠?

공분산(Covariance)이 정의되면 당연히 상관계수도 정의할 수 있겠죠.
자기상관계수, 통상 이 친구를 ACF라고 부르는데 이 ACF도 상관계수 공식과 똑같이 위처럼 대입할 수 있습니다.
일반적인 상관계수와 차이점은 "단일 변수에서 Index인 시점만 다른 상황"이라는 것이겠네요.

아무튼 자기상관함수를 잘 이용하면 자기상관계수는 위와 같은 관계가 있습니다.
자기상관함수가 정의되므로, sample을 이용해 정의하는 표본자기상관함수도 정의할 수 있겠죠.

표본자기상관함수(Sample Autucovariance Function)는 위와 같이 정의됩니다.

그리고 자기상관계수의 통계량인 SACF도 위와 같이 정의될 수 있겠네요.
우리는 이 SACF만 주목하면 됩니다.
앞으로 자주 등장할 친구이니깐요. 잘 기억해두셔요.
설명하자면 이 SACF가 0이냐 아니냐에 따라 모형이 독립인지 아닌지를 간단하게 살펴볼 수 있겠죠.
만약 시계열자료가 독립이라면 당연히 SACF도 0이 되겠죠.
독립인 확률변수 간에는 공분산이 0이니깐요!
물론 역은 성립하지 않으므로, SACF가 0이라고 해서 시계열자료가 독립이란 건 분명히 아닙니다.
다만 만약 0이 아니라면, 볼 것도 없이 시계열자료는 독립이 아니겠죠. 그런 면에서 임시방편으로 따져보긴 좋습니다.
(요즘 시국에 비유하자면 신속 코로나 검사 키트같은 느낌 ... ? )
아무튼 이 SACF를 여러 시차에 대해 그린 그림을 표본상관도표(Sample Correlogram)이라고 합니다.
이 표본상관도표를 통해 주어진 시계열자료가 어느 확률과정의 모형으로부터 생성된 것인지 짐작할 수 있습니다.
그리고 나중에 다루겠지만 ARMA(p, q) 모형의 차수를 결정하는 데 도움을 주는데요.
우선 한번 보시죠.

예시입니다.
Z_t = 17 - 0.7 Z_t-1 + ε 라고 한번 임의의 모형을 가정해볼게요.
이 모형은 AR(1) 모형이겠죠!
2021.07.02 - [Statistics/Econometrics] - [계량경제학] AR모형의 간단한 소개
[계량경제학] AR모형의 간단한 소개
안녕하십니까, 간토끼입니다. 이번 포스팅은 앞으로의 포스팅에 조금이나마 도움이 되도록 시계열모형에서 중요한 개념인 AR모형(AR Process)에 대해 간단하게나마 다뤄보도록 하겠습니다. 먼저 AR
datalabbit.tistory.com
보시면 시차(lag)가 1인 SACF은 AR(1)의 회귀계수인 -0.7임을 알 수 있네요.
그리고 이 표본상관도표를 보시면 위아래로 움직이는 모양인 걸 알 수 있고,
lag = 1 일 때 저 그래프 막대의 크기가 -0.7 에 해당한다는 걸 알 수 있습니다.
이 표본상관도표의 의의는 먼저 우리가 가진 모형이 양(+)의 상관성이 있는지, 음(-)의 상관성이 있는지 알 수 있다는 겁니다.
만약 양(+)의 상관성, 즉 SACF가 1에 가까울수록 그래프가 한쪽 방향에 한동안 머무르는 꼴을 취합니다.

이렇게요!
그리고 만약 음(-)의 상관성, 즉 SACF가 -1에 가까울수록 그래프가 위아래로 움직이는 꼴을 취합니다.

자세한 건 다음에 ARMA 모형을 자세히 다루면서 소개해보죠!
다음 포스팅에서는 ACF의 친구(?)격인 PACF에 대해 다뤄보도록 하겠습니다.
감사합니다.
잘 읽으셨다면 게시글 하단에 ♡(좋아요) 눌러주시면 감사하겠습니다 :)
(구독이면 더욱 좋습니다 ^_^)
- 간토끼(DataLabbit)
- University of Seoul
- Economics & Data Science
'Statistics > Time Series Analysis' 카테고리의 다른 글
| [시계열분석] 자기회귀모형(Autoregressive Model ; AR Model) (1) | 2021.12.12 |
|---|---|
| [시계열분석] 부분자기상관함수(Partial Autocovariance Function, PACF) (2) | 2021.07.14 |
| [시계열분석] 확률보행과정(Random Walk Process) (4) | 2021.07.11 |
| [시계열분석] 백색잡음과정(White Noise Process) (0) | 2021.07.05 |
| [시계열분석] 정상성(Stationarity) (2) | 2021.07.04 |
