안녕하십니까, 간토끼입니다.
이번 포스팅은 앞으로의 포스팅에 조금이나마 도움이 되도록 시계열모형에서 중요한 개념인 AR모형(AR Process)에 대해 간단하게나마 다뤄보도록 하겠습니다.

먼저 AR모형의 개념에 대해 살펴보고 넘어가보죠.

AR(AutoRegressive Process)은 자기회귀과정이란 뜻으로,
현 시점의 자료를 자기 자신의 p-시차 전의 과거의 값으로 나타낼 수 있는 모형을 의미합니다.
이때 오차항 ε은 평균이 0이고 분산이 σ^2인 i.i.d 가정, 즉 백색잡음 가정을 합니다.
이렇게 1-시차 전부터 p-시차 전까지의 과거값 p개로 이루어진 AR 모형을 AR(p) Process라고 합니다.
그리고 "회귀모형"이기 때문에 각 과거값은 설명변수가 되겠고, 앞에 계수는 회귀계수가 되겠습니다.

만약 직전 시차의 과거값만으로 이루어져 있다면 과거값이 1개이므로 AR(1) 모형이 되겠죠.
y_0 을 y_t의 초기값이라고 한다면, E(y_0) = 0 이고 오차항 ε과 초기값 y_0이 독립이라고 한번 가정해보죠.
만약 이 가정을 만족한다면 우리는 자료 {y_t}를 AR(1) 모형이라고 부를 수 있습니다.

그리고 이 {y_t}가 앞에서 다루었던 Weakly Dependent 가정을 만족하기 위해서는 회귀계수 φ가 | φ | < 1 을 만족해야 합니다.
이를 Stable AR(1) 이라고 하는데요.
나중에 시계열분석 카테고리에서 다룰 단위근(UnitRoot)과 관련이 있는 개념입니다.
그냥 러프하게 생각해서 y_t를 쭉 풀어서 쓰게 되면 y의 과거값에 회귀계수 φ의 k-제곱꼴이 곱해지게 되는데요.
1보다 작다면 이 값이 점점 작아져 0에 수렴하겠지만, 1과 같거나 1보다 크다면 점점 커지게 되어 상관계수가 0에 수렴하지 않겠죠.
Weakly Dependent 개념을 떠올려보시면 이해가 될 겁니다.
2021.04.24 - [Statistics/Econometrics] - [계량경제학] Weakly Dependent
[계량경제학] Weakly Dependent
안녕하십니까, 간토끼입니다. 이번 포스팅은 지난 포스팅의 Stationarity 개념에 이어 시계열 회귀분석에서 중요한 개념인 Weakly Dependent에 대해 다뤄보도록 하겠습니다. 먼저 Cross Sectional Data에서의
datalabbit.tistory.com
그리고 이렇게 과거의 값들을 나타낼 때 Lag Operator 라는 기호를 통해 용이하게 나타낼 수 있습니다.
다른 말로는 Backshift Operator 라고도 합니다.

굳이 설명 안해도 이해가 되시죠? 그냥 참고로 알아두셔요.
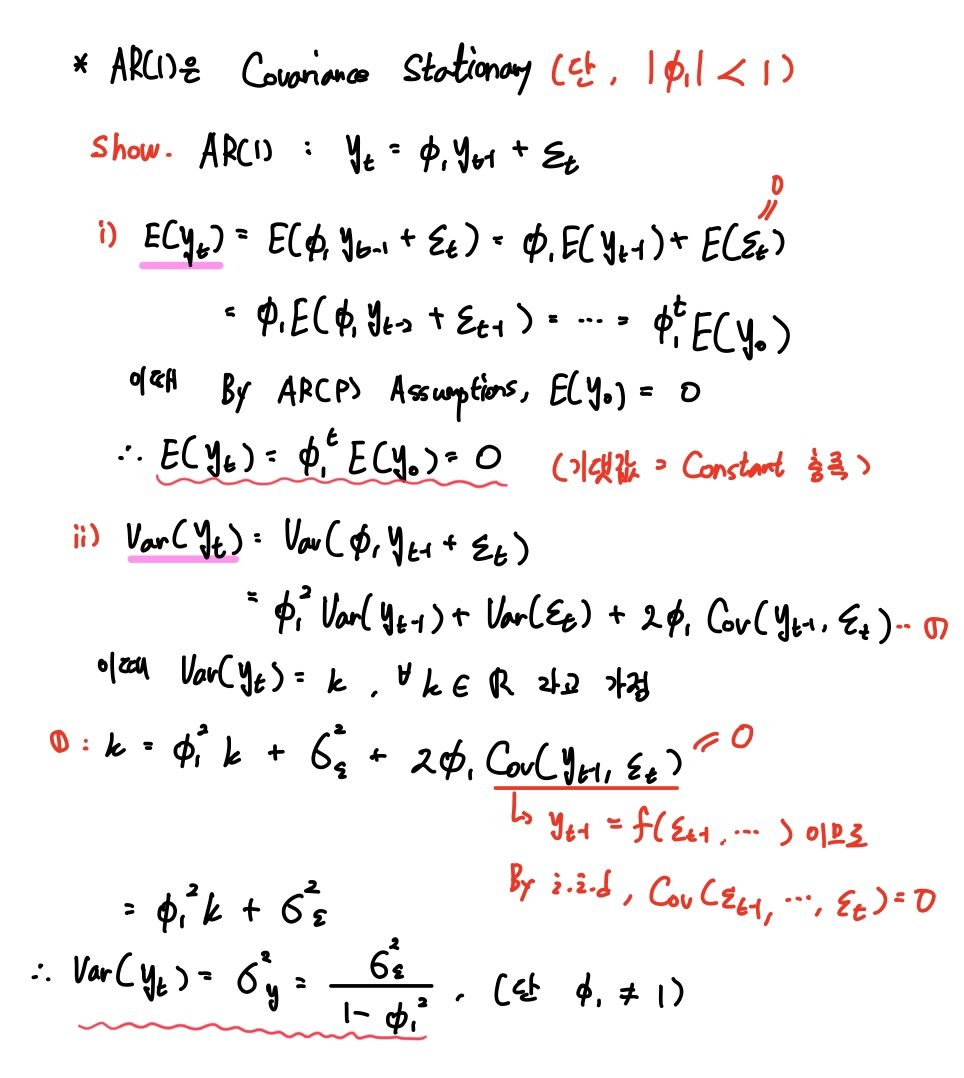
아무튼 그래서 지난 포스팅과 유사하게 AR(1) 모형도 Covariance Stationry 함을 보일 수 있습니다.
Covariance Stationry 의 조건은 다음과 같았죠.
기댓값과 분산이 상수값이어야 하며, t시점과 t+h시점의 값 간의 공분산이 시점 t가 아닌 시차 h에 의존하여 정의돼야 합니다.
먼저 기댓값과 분산부터 보시죠.

기댓값에서 E(y_0) = 0 이란 가정을 이용해주었습니다.
분산에서는 마지막쯤을 보시면 y_(t-1) 또한 과거의 ε들로 이루어진 함수이고, 이때 ε는 i.i.d이기 때문에 서로 independent하다고 할 수 있습니다.
independent한 확률변수 간에는 공분산이 0이잖아요? 그래서 이 가정을 이용해 Cov(y_(t-1), ε_t) = 0 을 만들어주었습니다.
그래서 분산도 상수 형태로 표현됨을 알 수 있습니다.

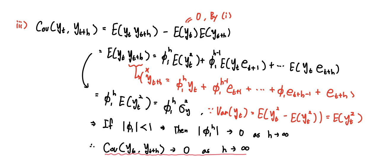
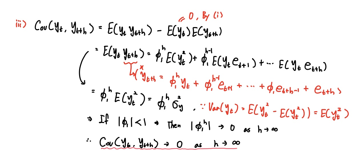
공분산도 전개해보면 시점 t가 아닌 시차 h에 의존함을 알 수 있으며,
나아가 h가 커질수록 공분산도 0에 수렴하는 Weakly Dependent 가정까지 만족함을 보일 수 있습니다.
심도있게 AR Process에 다룬 건 또 아니어서 도움이 되는 포스팅일진 모르겠네요.
이러한 시계열 모형에 대한 자세한 논의는 시계열분석 카테고리에서 추후 다룰 예정이고, 우선은 시계열 회귀분석에 도움이 되는 수준으로만 다루어보았습니다.
아무튼 다음 포스팅부터는 지금까지 다룬 개념을 이용하여 시계열 OLS 회귀분석을 위한 완화된 가정에 대해 다뤄보도록 하겠습니다.
감사합니다.
잘 읽으셨다면 게시글 하단에 ♡(좋아요) 눌러주시면 감사하겠습니다 :)
(구독이면 더욱 좋습니다 ^_^)
- 간토끼(DataLabbit)
- University of Seoul
- Economics & Data Science
'Statistics > Econometrics' 카테고리의 다른 글
| [계량경제학] 시계열 회귀분석의 점근적 성질(Asymptotic Properties of OLS) (0) | 2022.02.22 |
|---|---|
| [계량경제학] Weakly Dependent (4) | 2021.04.24 |
| [계량경제학] Stationary와 Non Stationary (2) | 2021.04.18 |
| [계량경제학] 시계열 회귀분석의 고전적 가정(2) (0) | 2021.04.11 |
| [계량경제학] 시계열 회귀분석의 고전적 가정(1) (1) | 2021.04.10 |
