Review
참고 포스팅 :
2021.07.12 - [Statistics/Time Series Analysis] - [시계열분석] 자기상관함수(AutoCovariance Function; ACF)
[시계열분석] 자기상관함수(AutoCovariance Function; ACF)
안녕하십니까, 간토끼입니다. 이번 포스팅에서는 시계열자료의 특성을 파악할 수 있는 중요한 지표 중 하나인 자기상관함수(AutoCovariance Function; ACF)에 대해 다뤄보도록 하겠습니다. 항상 강조하
datalabbit.tistory.com
안녕하십니까, 간토끼입니다.
지난 포스팅에 이어 시계열 변수 간 관련성을 판단하는 데 있어 ACF와 함께 유용하게 사용되는 통계량인 부분자기상관함수(Partial Autocovariance Function, PACF)에 대해 다뤄보도록 하겠습니다.


PACF를 설명하기 위해 간단한 예시를 들어보죠.
먼저 X를 연간 신발 판매량, Y를 연간 범죄발생 건수라고 가정해보죠.
이 둘의 상관계수를 ρ 라고 할 때, 이 ρ는 1에 가까운 값이 나올 겁니다.
그렇다면 신발이 잘 팔릴수록 범죄 발생률이 증가한다, 혹은 범죄 발생률이 증가하면 신발이 잘 팔린다 등의 결론을 내릴 수 있을까요?

당연히 아니겠죠!
이 둘은 시계열 변수이므로, 단순히 '시간이 지남에 따라' 인구가 증가하여 신발 구매량도 늘고, 범죄의 발생 건수도 증가한 것입니다.
그러므로 이 둘의 순수한 상관 정도를 보기 위해서는 시간의 효과인 추세(Trend)를 제거해야겠죠.
예전에 가볍게 이 개념에 대해 다룬 적이 있었습니다.
2020.12.18 - [Statistics/Econometrics] - [계량경제학] 시계열 회귀분석(Time Series Regression)의 개념
[계량경제학] 시계열 회귀분석(Time Series Regression)의 개념
안녕하십니까, 간토끼입니다. 이번 포스팅부터는 계량경제학의 내용 중 시계열자료를 이용한 회귀분석(Time Series Regression)에 대해서 다뤄보도록 하겠습니다. 1. 시계열 자료(Time Series Data) 먼저 시
datalabbit.tistory.com

이때 부분자기상관계수(PACF)는 좋은 통계량이 될 수 있습니다.
바로 위에서 우려가 됐던 시간의 효과를 제거한 상관계수이기 때문입니다.
부분자기상관계수는 t시점의 변수 Z_t 와, k-시차 만큼 떨어진 변수인 Z_t+k 의 상관정도를 구하기 위해
그 사이의 시간의 효과를 제거한 상관계수입니다.
이 시간의 효과를 제거하는 매커니즘을 한번 살펴보시죠.

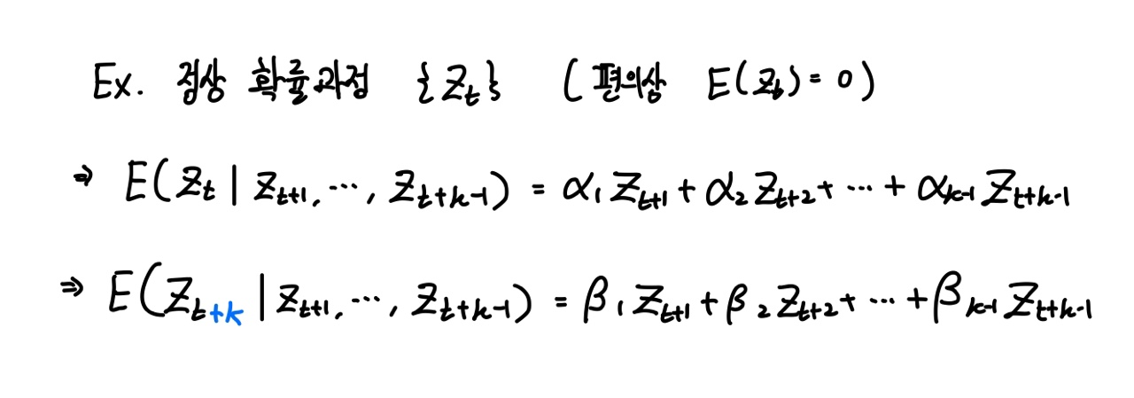
기댓값이 0인 정상 확률과정 Z_t를 가정해보겠습니다.
이 Z_t를 (t+1)시점부터 (t+k-1) 시점까지의 Z에 회귀시킨 최적선형예측 식은 위와 같겠습니다.
마찬가지로 Z_t+k 를 (t+1)시점부터 (t+k-1) 시점까지의 Z에 회귀시킨 식도 구할 수 있겠죠.

각각의 식의 회귀계수인 α와 β는 최소제곱법에 의해 위 식을 최소화하는 최소제곱추정량이겠죠.
그래서 α와 β는 같은 값이라고 할 수 있겠습니다.
크게 아이디어만 좀 정리해보도록 하죠.

이 시간의 효과를 제거한다는 개념은 결국 Z_t가 간직하고 있는 정보 중에서 Z_t+1, Z_t+2, ... , Z_(t+k-1) 변수들과 무관한 정보를 의미하며, 이는 회귀모형에서의 잔차(Residual)에 해당합니다.

그래서 부분자기상관계수는 결국 잔차 간의 상관계수이다! 라고 이해하셔도 될 것 같습니다.
말이 잔차이지, 실질적으로는 알맹이만 남은 것이라고 볼 수 있겠군요!!

이 부분자기상관계수를 구하는 방법은 원래 행렬식과 Cramer 공식을 이용해야 해서 좀 많이 복잡합니다.
그래서 Durbin-Levinson 알고리즘이 제안되어 좀 더 편하게 산출할 수 있는데요.
그냥 알아만 두시고, 계산은 결국 컴퓨터가 하니깐요.
PACF가 어떤 의미를 갖고 있는지, ACF와 어떻게 활용될 수 있을지만 알아두시면 될 것 같습니다.
다음 포스팅부터는 ARMA 모형을 다루기 위해 본격적으로 AR모형부터 다뤄보도록 하겠습니다.
감사합니다.
잘 읽으셨다면 게시글 하단에 ♡(좋아요) 눌러주시면 감사하겠습니다 :)
(구독이면 더욱 좋습니다 ^_^)
- 간토끼(DataLabbit)
- University of Seoul
- Economics & Data Science
'Statistics > Time Series Analysis' 카테고리의 다른 글
| [시계열분석] 이동평균모형(Moving Average Model; MA Model) (0) | 2022.03.17 |
|---|---|
| [시계열분석] 자기회귀모형(Autoregressive Model ; AR Model) (1) | 2021.12.12 |
| [시계열분석] 자기상관함수(AutoCovariance Function; ACF) (0) | 2021.07.12 |
| [시계열분석] 확률보행과정(Random Walk Process) (4) | 2021.07.11 |
| [시계열분석] 백색잡음과정(White Noise Process) (0) | 2021.07.05 |
