Review
참고 포스팅 :
2021.07.02 - [Statistics/Econometrics] - [계량경제학] AR모형의 간단한 소개
[계량경제학] AR모형의 간단한 소개
안녕하십니까, 간토끼입니다. 이번 포스팅은 앞으로의 포스팅에 조금이나마 도움이 되도록 시계열모형에서 중요한 개념인 AR모형(AR Process)에 대해 간단하게나마 다뤄보도록 하겠습니다. 먼저 AR
datalabbit.tistory.com
안녕하십니까, 간토끼입니다.
간만에 포스팅이네요.
오늘은 지난 포스팅에서 다루었던 자기상관함수, 부분자기상관함수를 이용해 ARMA 시리즈의 첫 번째 모형인 AR모형에 대해 다뤄보도록 하겠습니다.

시계열과정에서 현재의 상태가 과거의 상태에 의존한다면 현재의 관측값 Z_t를 과거 관측값들의 함수 형태로 나타낼 수 있을 겁니다.

확률과정 Z_t가 위 관계를 만족할 때 이 확률과정을 자기회귀과정(Autoregressive Process)라고 부릅니다.
통상 함수 f의 형태를 선형함수로 쓰고 있죠. 선형이 아무래도 관계를 나타내기 간편하니깐요.
그리고 오차항은 백색잡음과정을 가정하겠습니다.
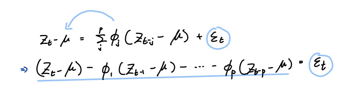
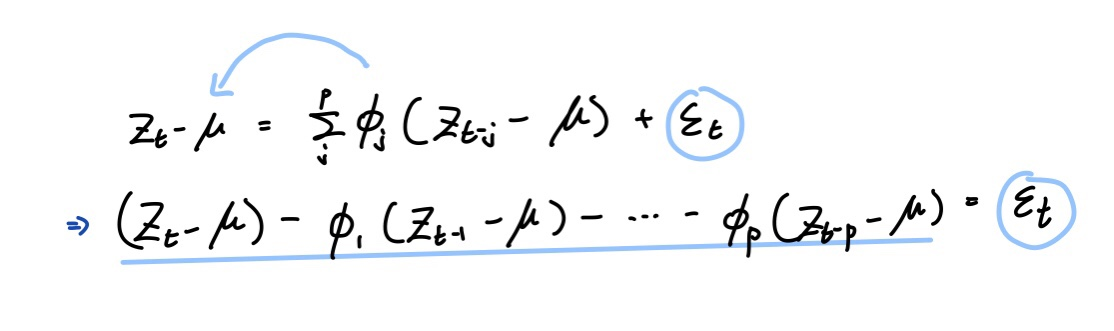
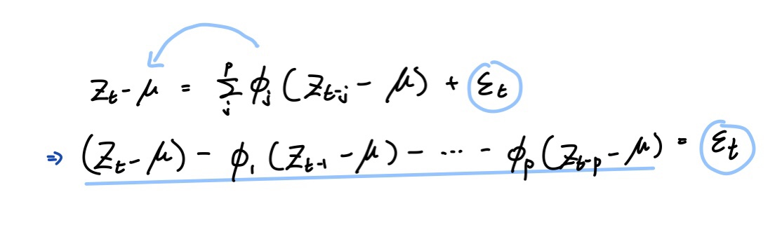
그렇다면 평균 μ인 P-차 자기회귀과정 AR(p)는 다음과 같이 나타낼 수 있겠습니다.

과거의 값들을 선형으로 나타내니 일반적인 선형회귀모형의 매우 유사함을 알 수 있습니다. (매우 유사한 게 아니라 같죠)
t 시점의 관측값을 Z_t 라고 할 때, t-1시차 전의 값은 Z_t-1 와 같이 표기할 수 있겠죠.
이때 후진작용소(Backshift Operator)를 이용하면 과거의 값들을 간편하게 나타낼 수 있습니다.

앞에 B라는 기호를 붙여주면 1-시차 전의 값이 되고, B의 차수만큼 과거의 값을 나타냄을 알 수 있습니다.
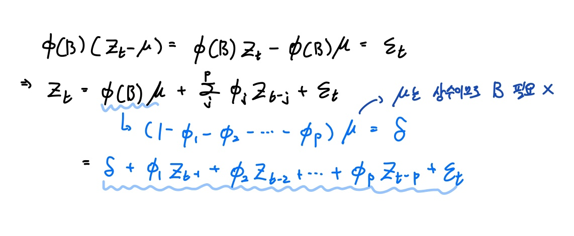
한번 위 p-차 AR모형을 변형해서 다시 써볼까요?
우변에 오차항만 남겨두고 좌변으로 넘겨봅시다.

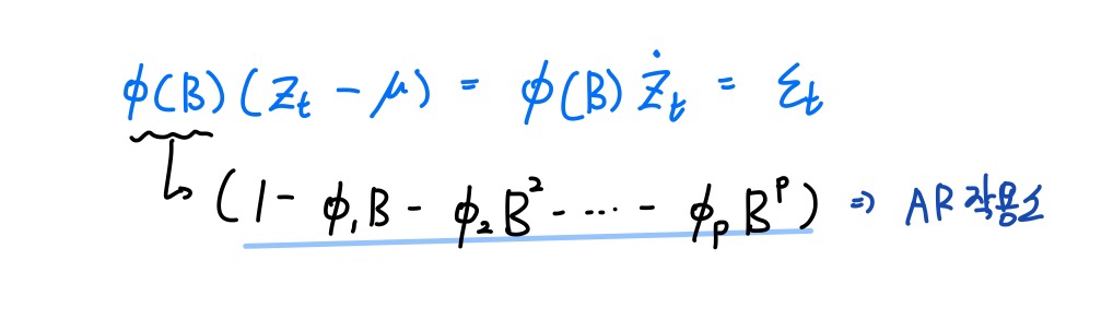
이제 좌변은 (Z_t-k - μ) 꼴의 항과 AR모형의 계수 Φ가 선형으로 이루어지고 있음을 알 수 있습니다.

이를 φ(B) 라는 B에 대한 방정식으로 묶으면 어떻게 될까요?
위에서 소개한 Backshift Operator를 사용하여 묶으면 간편하게 나타낼 수 있겠죠.
이를 AR작용소(AR Operator)라고 합니다.
이 AR Operator를 이용한 AR(p) 식을 다시 전개해봅시다.

앞서 전개한 것처럼 현재 관측값 Z_t 에 대해 식을 전개하면 AR Operator를 일종의 상수인 δ로 치환할 수 있습니다.
그러면 Z_t 는 상수항 δ와 회귀계수 φ, 설명변수 Z_t-k 들의 선형결합으로 구성된 다중회귀모형으로 나타남을 알 수 있습니다.
다만 일반적인 회귀모형과 차이점은 설명변수가 자기 자신의 과거값들로 이루어져 있다는 것이겠죠!
이번엔 AR모형의 특성을 좀 더 이해할 수 있도록 1-시차 전의 과거값으로 이루어진 AR(1) 모형을 살펴보도록 하죠.

자기회귀과정 중 가장 간단한 과정입니다.
이 과정은 마코프(Markov) 과정이라고도 합니다.

AR(1)의 정상성 조건은 회귀계수 φ의 절댓값이 1보다 작아야 한다는 것입니다.
정상성에 대한 논의는 이전 포스팅에서도 많이 다루었으니 참고해보시고요.
쉽게 말하면 시계열 데이터가 안정적이어야 한다는 것입니다.
만약 1보다 크면 어떻게 될까요?
오차항은 고려하지 않고 φ = 2인 Z_t = φ Z_t-1 꼴만 고려해보죠.
초기값 Z_0 = 1이라고 할 때, Z_1 = 2, Z_2 = 4, Z_3 = 8, ... , Z_10 = 1024 등 지수적으로 폭등함을 알 수 있죠.
즉 2^x 꼴의 지수함수 형태를 보일 겁니다. 일종의 Trend죠?
우리는 정상성(Stationarity)에 대한 논의를 하면서 정상적인 시계열엔 Trend와 같은 패턴이 관측되면 안 된다고 배웠습니다.
아무튼간에 회귀계수의 절댓값이 1보다 작아야 안정적인 시계열이 된다는 건 러프하게나마 이해가 되시죠?
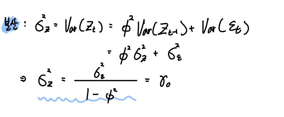
그래서 저 정상성 조건 하에서 기댓값을 구해보면 μ = δ/1-φ 꼴로 나타남을 알 수 있습니다.

마찬가지로 분산을 구해보면 위와 같이 구할 수 있겠죠.
이를 바탕으로 지난 포스팅에서 다루었던 ACF와 PACF의 개념을 꺼내보죠.
2021.07.12 - [Statistics/Time Series Analysis] - [시계열분석] 자기상관함수(AutoCovariance Function; ACF)
[시계열분석] 자기상관함수(AutoCovariance Function; ACF)
안녕하십니까, 간토끼입니다. 이번 포스팅에서는 시계열자료의 특성을 파악할 수 있는 중요한 지표 중 하나인 자기상관함수(AutoCovariance Function; ACF)에 대해 다뤄보도록 하겠습니다. 항상 강조하
datalabbit.tistory.com
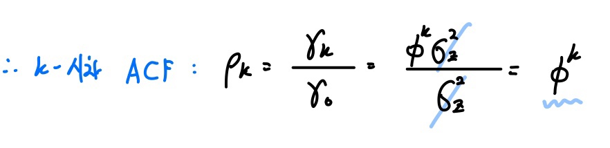
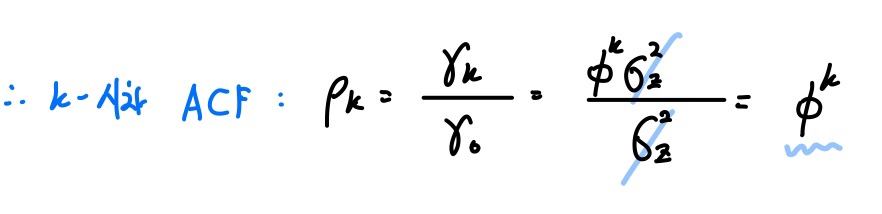
1. AR(1)의 ACF

ACF라는 말 자체가 자기공분산함수, 즉 공분산을 구하는 개념이므로 공분산을 구하기 위해 K-시차 전의 Z_t-k 를 양변에 곱해준 후, 기댓값을 구해줍니다.

그러면 k-시차 떨어진 값과의 자기공분산함수 ACF는 위와 같이 도출됨을 알 수 있습니다.
바로 회귀계수에 k-제곱을 해준 것과 동일하겠네요. ㅎㅎ
[시계열분석] 부분자기상관함수(Partial Autocovariance Function, PACF)
Review 참고 포스팅 : 2021.07.12 - [Statistics/Time Series Analysis] - [시계열분석] 자기상관함수(AutoCovariance Function; ACF) [시계열분석] 자기상관함수(AutoCovariance Function; ACF) 안녕하십니까, 간..
datalabbit.tistory.com
2. AR(1)의 PACF

PACF는 위 포스팅에 의거하여 값을 대입하면 심플하게 도출됩니다.
어렵지 않죠?
다만 AR(p)에서 p의 차수가 클수록 행렬의 개념을 이용해야해서 구하기 좀 힘듭니다.
p=1인 단순한 모형에서나 저렇게 러프하게 도출이 돼요.
아무튼 간에 ~ 이걸 구하면 무엇을 알 수 있냐?
바로 우리가 가지고 있는 시계열 데이터가 AR모형을 따르는지 ACF, PACF 차트를 통해 파악할 수 있습니다.

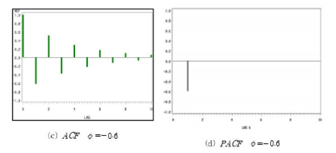
만약 φ가 양수이고, 정상성 조건을 만족할 때 ACF는 위와 같이 지수적으로 감소하는 형태를 보입니다.
ACF가 φ에 k-제곱을 해준 형태이니, k가 커질수록(시차가 멀어질수록) 지수적으로 감소하는 형태를 보임은 직관적으로 이해할 수 있죠?
그리고 PACF는 k=1일 때 φ의 값과 동일하고, k가 2 이상일 땐 0이 됨을 알 수 있죠.

만약 φ가 음수일 땐 양과 음의 값을 번갈아 가지며 감소하는 사인함수의 형태를 보임을 알 수 있습니다.
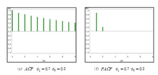
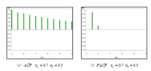
여기서 정리하고 가는 AR(p) 모형의 특징!
1. AR(p) 모형의 ACF는 지수적으로 감소하거나 양과 음의 값을 번갈아 가지며 감소하는 형태를 보인다.
2. AR(p) 모형의 PACF는 lag = p 까지만 값을 가지고, 그 이후는 0의 값을 가진다.

즉 ACF가 지수적으로 감소하고, PACF가 lag = 2까지만 값을 갖고 3 이후로는 0의 값을 가진다면,
우리가 가진 데이터는 AR(2) 를 따르는 데이터구나! 라고 유추할 수 있다는 의미입니다.
그러므로 PACF에서 끊기는 지점을 통해 AR모형의 차수 p를 결정할 수 있고,
ACF의 형태를 통해 AR모형인지 아닌지를 알 수 있다는 거죠!!!!
AR(2)의 성질도 다뤄보고 싶었는데 생각보다 포스팅이 길어지네요.
그냥 다음 포스팅에서 바로 MA모형에 대해 다뤄보겠습니다.
감사합니다.
잘 읽으셨다면 게시글 하단에 ♡(좋아요) 눌러주시면 감사하겠습니다 :)
(구독이면 더욱 좋습니다 ^_^)
- 간토끼(DataLabbit)
- University of Seoul
- Economics & Data Science
'Statistics > Time Series Analysis' 카테고리의 다른 글
| [시계열분석] 이동평균모형(Moving Average Model; MA Model) (0) | 2022.03.17 |
|---|---|
| [시계열분석] 부분자기상관함수(Partial Autocovariance Function, PACF) (2) | 2021.07.14 |
| [시계열분석] 자기상관함수(AutoCovariance Function; ACF) (0) | 2021.07.12 |
| [시계열분석] 확률보행과정(Random Walk Process) (4) | 2021.07.11 |
| [시계열분석] 백색잡음과정(White Noise Process) (0) | 2021.07.05 |
