Review
참고 포스팅 :
[시계열분석] 단순지수평활법(Simple Exponential Smoothing Method)
안녕하십니까, 간토끼입니다. 지난 포스팅까지는 시계열자료의 추세(Trend)를 이용하여 미래의 시계열을 예측하는 추세분석에 대해서 다뤄봤습니다. 추세를 나타내는 변수 t, 혹은 t의 Polynomial Ter
datalabbit.tistory.com
안녕하십니까, 간토끼입니다.
이전 포스팅에서는 지수평활법의 개념, 그리고 시계열자료를 구성하는 모형이 Parameter β와 불규칙성분 ε로 이루어진 아주 단순한 모형일 때 적용하는 평활법인 단순지수평활법에 대해서 다뤘습니다.
이번 포스팅에서는 시계열이 선형추세에 따라 증가하는 경우에 단순지수평활법을 적용할 경우의 문제점, 그리고 이를 해결하기 위한 이중지수평활법(Double Exponential Smoothing Method)에 대해서 다뤄보겠습니다.

1. 시계열이 선형추세를 따를 때 단순지수평활법의 문제

지수평활법은 시계열이 선형추세에 따라 증가하는 경우, 혹은 감소하는 경우에도 적용할 수 있습니다.
위와 같이 Trend를 보일 때처럼 말이죠.
이를 Model화하면 다음과 같습니다.

앞선 단순지수평활법의 가정을 언급할 때와 동일합니다.
모형의 Parameter는 마찬가지로 시간에 따라 변화하는 미지의 Parameter입니다.
즉 국지적으로는 비슷한 추세를 보이지만, 전체적으로 보았을 때 상이한 추세를 보인다는 점에서 시간대별로 예측값이 상이해야 한다는 것입니다.
그러므로 앞서 다루었던 선형추세모형과 구별된다고 할 수 있습니다.
그래서 위와 같이 선형추세를 보일 때 단순지수평활법을 적용하면 어떠한 문제점이 발생하는지 살펴보죠.

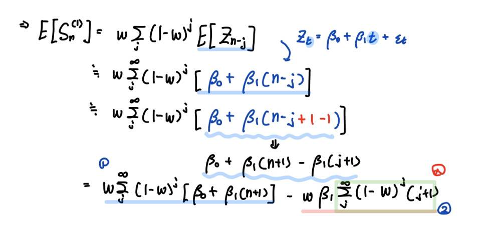
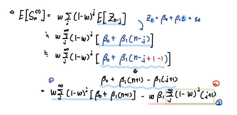
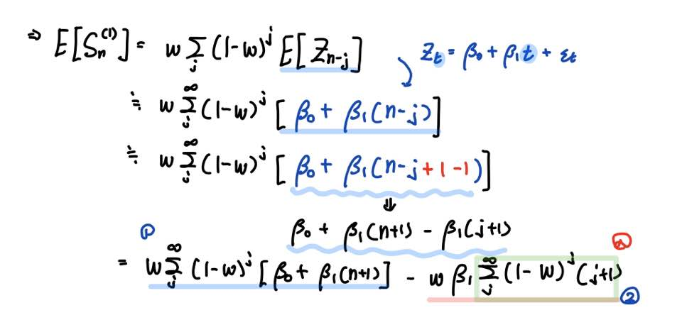
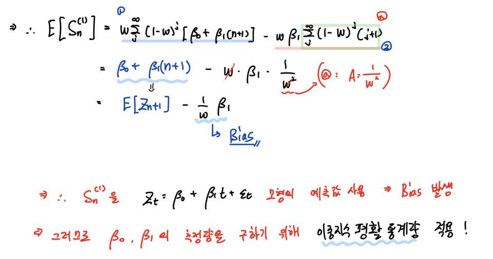
단순지수평활통계량은 위 빨간 색으로 표시한 것과 같이 구할 수 있었습니다.
이때 단순지수평활통계량의 기댓값을 구해보면 다음과 같이 나타낼 수 있습니다.

핵심은 자료 Z_(n-j) = β0 + β1(n-j) 를 대입한다는 것이겠죠.
그러면 위와 같이 두 개의 항 (1), (2)로 나누어 쓸 수 있습니다.
하나씩 차근차근 구해보도록 하죠.

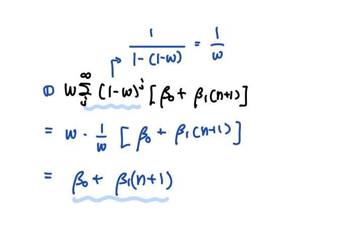
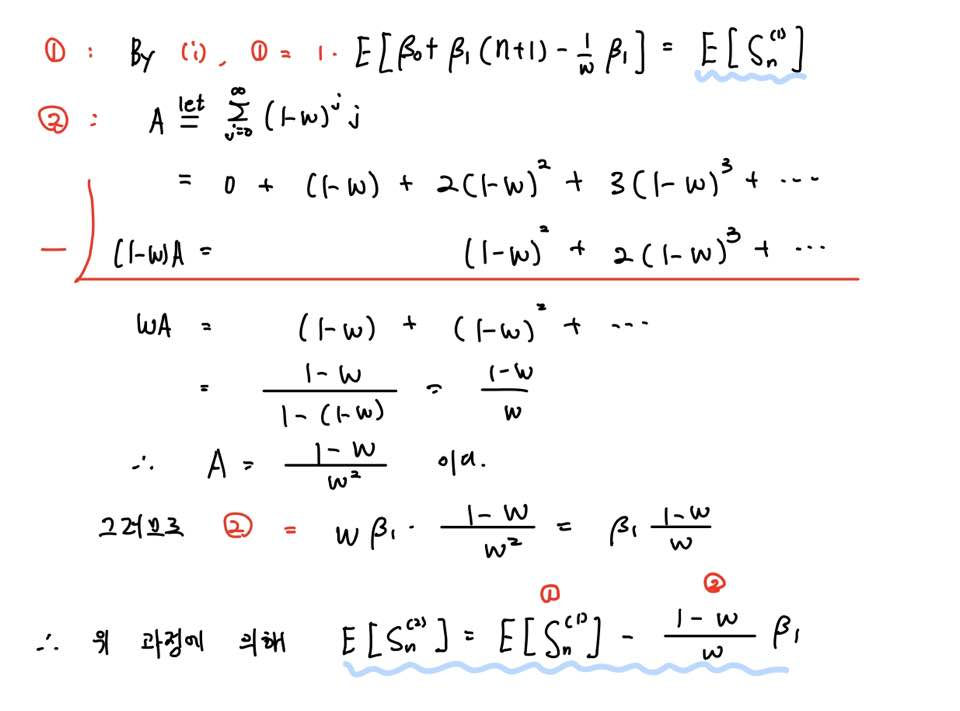
먼저 (1)번의 경우는 무한등비급수의 합 공식을 이용해주면 β0 + β1(n+1) 로 나타낼 수 있습니다.
이는 다시 말하면 n+1번째 자료 Z_(n+1)의 기댓값이라고도 할 수 있겠네요.
(2)번의 경우는 다음과 같습니다.
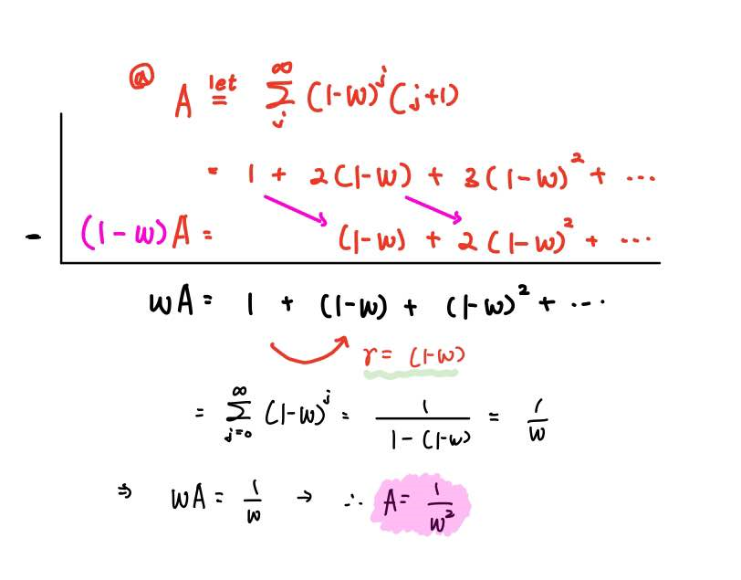
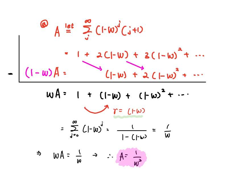
그중 (a)항이 조금 복잡(?)해서 먼저 구해보도록 하겠습니다.

(a)항을 A라고 한다면, A에 (1-w)를 곱해준 (1-w)A를 빼줌으로써 일부 항들을 소거해줍니다.
그러면 우변은 공비가 (1-w)인 무한등비급수의 합이 되므로 공식에 따라 구해주면 1/w가 됩니다.
좌변은 A - (1-w)A 를 전개해주면 wA만 남게 되고요.
그러므로 (a)항을 의미하는 A = 1/w^2 가 됩니다.

따라서 (1), (2)를 이용해 식을 정리하면 위와 같이 편향 추정을 하게 된다는 것을 알 수 있습니다.
즉 단순지수평활 통계량을 선형 추세를 따르는 시계열 모형에서의 Z_(n+1)의 예측값으로 사용하면 항상 β1/w 만큼의 편향 추정을 하게 되는 문제점이 발생합니다.
따라서 이를 방지하기 위해서는 β0, β1을 추정하고 이를 이용해 예측값을 구해야 하며, 이때 단순지수평활 통계량과 더불어 단순지수평활 통계량에 단순지수평활을 적용해 얻어지는 이중지수평활(Double Exponential Smoothing) 통계량을 사용하여 회귀계수를 추정합니다.
2. 이중지수평활법(Double Exponential Smoothing Method)
이중지수평활법은 단순지수평활 통계량에 단순지수평활을 적용함으로써 통계량을 얻는 기법을 말합니다.
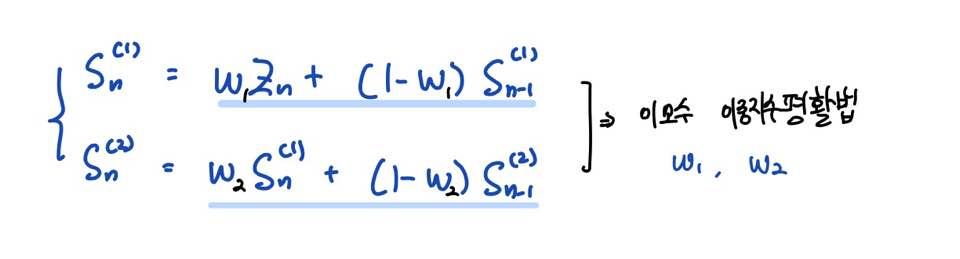
즉 단순지수평활 통계량과 이중지수평활 통계량은 다음과 같이 쓸 수 있습니다.

보시다시피 단순지수평활 통계량과 이중지수평활 통계량의 구조는 유사합니다.
다만 단순지수평활 통계량에서는 시계열자료를 자료로 사용하였으나,
이중지수평활 통계량에서는 단순지수평활 통계량을 자료로 간주하고 사용한 것을 알 수 있습니다.
그래서 위에서 했던 것처럼 이중지수평활 통계량의 기댓값을 유도해보도록 하죠.
# 이중지수평활 통계량의 기댓값 유도


설명하긴 힘든데 읽어보시면 유도 과정이 잘 이해되실 겁니다.
과정이 조금 복잡하지만 매커니즘 자체는 단순지수평활 통계량의 기댓값 유도 과정과 유사합니다.

그래서 단순지수평활 통계량의 기댓값과 이중지수평활 통계량의 기댓값을 연립하여 β0, β1에 대해 정리하면 β0, β1에 대한 식을 얻을 수 있습니다.
따라서 시점 n에서의 절편 β0과 기울기 β1의 추정량을 다음과 같이 나타낼 수 있겠죠.

이를 이용해 시점 n에서의 시계열 자료에 대한 추정값을 구할 수 있습니다.

그러므로 시점 n에서 l-시차 후의 미래 값의 이중지수평활법에 의한 예측값은 다음과 같습니다.

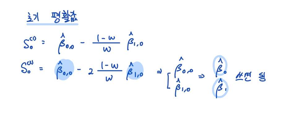
그리고 단순지수평활법에 의한 예측과 같이 지수평활 통계량을 구하기 위해서는 초기 평활값을 알아야 합니다.
n이 충분히 크지 않다는 전제 하에요.
n이 크면 단순지수평활법에서의 case와 마찬가지로 상수항은 점근적으로 0에 수렴하므로 무시해도 되겠죠?

초기 평활값은 위와 같이 구할 수 있는데, 이때 0-시점에서의 추정량은 선형추세모형의 최소제곱추정량으로 구하면 됩니다.
2020/11/06 - [Statistics/Time Series Analysis] - [시계열분석] 다항추세모형(2) - 선형추세모형(Linear Trend Model)
[시계열분석] 다항추세모형(2) - 선형추세모형(Linear Trend Model)
Review 참고 포스팅 : 2020/11/04 - [Statistics/Time Series Analysis] - [시계열분석] 다항추세모형(1) - 상수평균모형 [시계열분석] 다항추세모형(1) - 상수평균모형 Review 참고 포스팅 : 2020/11/03 - [Stati..
datalabbit.tistory.com
위 포스팅에 나온 방법을 이용해서 구한 추정량을 이용하면 됩니다.
평활상수 w도 마찬가지로 이전 포스팅에서 나왔던 예측오차에 대한 SSE를 작게 만드는 w를 선택하면 되고요.
이때 w를 하나만 사용한다는 점에서 일모수 이중지수평활법이라고 부릅니다.
또한 지수평활 통계량에 따라 w를 다르게 사용하는 이모수 이중지수평활법도 있습니다.

그냥 언급만 하고 넘어가겠습니다. (저도 잘 몰라서요 ㅎㅎ )
이후 2차 추세모형을 따를 때 적용하는 삼중지수평활법도 있습니다만 굳이 다루진 않겠습니다.
포인트는 시계열자료가 어떠한 다항 추세의 형태를 보이냐에 따라 지수평활의 정도도 달라진다는 것만 기억하시면 좋을 것 같습니다.
다음 포스팅은 시계열 자료의 성분을 분해하는 분해법에 대해서 다뤄보겠습니다.
감사합니다.
잘 읽으셨다면 게시글 하단에 ♡(좋아요) 눌러주시면 감사하겠습니다 :)
(구독이면 더욱 좋습니다 ^_^)
- 간토끼(DataLabbit)
- 학부 4학년(a fourth-grade undergraduate)
- University of Seoul
- Economics, Data Science
'Statistics > Time Series Analysis' 카테고리의 다른 글
| [시계열분석] 이동평균법(Moving Average Method)에 의한 분해(1) (0) | 2020.12.26 |
|---|---|
| [시계열분석] 추세모형에 의한 분해법 (2) | 2020.12.23 |
| [시계열분석] 단순지수평활법(Simple Exponential Smoothing Method) (0) | 2020.11.16 |
| [시계열분석] 자기회귀오차모형(Autoregressive Error Model) (2) | 2020.11.12 |
| [시계열분석] Durbin-Watson(DW) Test (4) | 2020.11.11 |
