안녕하십니까, 간토끼입니다.
이번 포스팅은 잔차의 자기상관 유무를 검정하는 기법 중 하나인 Durbin-Watson Test에 대해서 다뤄보겠습니다.

앞서 계속 설명했다시피 시계열자료는 그동안 다뤄오던 Cross-Sectional 자료와 꽤나 다릅니다.
가장 큰 특징은 기존 Cross-Sectional 자료에서는 오차항의 i.i.d 가정을 적용할 수 있었지만, 시계열에서는 i.i.d 가정이 매우 강력한 가정이라 적용하기 어렵다는 것이죠.
특히 independent함을 가장 만족하기 어렵습니다.
만약 independent하다면 어제의 주가가 2000원일 때 오늘의 주가는 100원일 수 있어야 하는데 이정도 등락은 정말 어려울 겁니다.
현실적으로 어제의 주가가 2000원이라면 오늘의 주가는 2000원 내외에서 큰 변화를 보이지 않겠죠.
그러한 맥락에서 관측치 간 독립이라는 가정은 꽤나 적용하기 어려워 보입니다.
따라서 어제의 관측치가 오늘의 관측치 값에 영향을 주는 자료 간 자기상관(Autocorrelation)이 존재하기 때문에 이를 고려한 분석법이 필요하다고 언급했었습니다.
그러한 맥락에서 잔차 간 자기상관이 존재하는지 파악하기 위해 통상적으로 잔차 그림을 우선적으로 그려봅니다.

만약 위와 같이 잔차 간 어떠한 패턴이 보일 경우, 잔차 간 자기상관이 존재한다고 간주할 수 있습니다.
좌측과 같다면 양(+)의 상관을 갖고, 우측과 같다면 음(-)의 상관을 갖는데요.
보통은 양(+)의 상관인 case가 많고, 음(-)의 상관인 case는 많지는 않습니다.
저는 처음에 +, - 부호가 왔다 갔다 하는 게 왜 음(-)의 상관인지 이해가 안 됐는데, 비슷한 분들도 계실 거라 생각합니다.
대략적인 예시를 통해 음(-)의 상관인 case를 한번 살펴보시죠.

만약 관측치가 5개라면 1-시차 전 잔차와의 자기상관을 파악해야 하므로,
관측치는 1개 감소한 4개가 되겠습니다.
대충 부호가 왔다리 갔다리 하는 친구를 임의로 만들어보니 우하향하는 것을 알 수 있죠.
그러한 맥락에서 왔다리~갔다리~ 하는 잔차의 plot을 보고 음(-)의 상관이 있는지 간접적으로(?) 파악할 수 있습니다.
자 그래서 1-시차 전 잔차와의 자기상관이 통계적으로 유의한지 파악하는 기법을 Durbin-Watson(DW) Test,
더빈-왓슨 검정이라고 합니다.

한번 자세히 살펴보도록 하죠.
(1) 잔차들의 k차 표본자기상관계수를 이용한 검정법
먼저 일반적으로 자기상관이니, correlation의 정도를 알려주는 상관계수를 이용해야겠죠?

k-차 표본자기상관계수 공식은 위와 같이 쓸 수 있습니다.
일반적인 상관계수 공식과 다른 이유는 잔차를 이용했기 때문에 잔차항의 기댓값은 0이 되기 때문에
공분산과 분산이 위와 같이 약간 변형됐음을 알고 계시면 됩니다.
그래서 이 k-차 표본자기상관계수의 절댓값이 2/root(n) 보다 크다면 자기상관이 존재한다고 근사적으로 판단할 수 있습니다.
(2) Durbin-Watson Test 를 이용한 1차 자기상관관계 검정
DW Test를 이용하면 오차항들의 1차 자기상관관계가 통계적으로 유의한지 검정할 수 있습니다.

위와 같이 오차항을 1-시차 전 오차항과 위 식에서의 오차항인 a에 대하여 표현한 식을 AR(1) 모형이라고 합니다.
(위 오차 a는 서로 독립이라고 가정)
AR(1) 모형은 t시점에서의 관측값을 반응변수로 하고, (t-1) 시점에서의 관측값을 설명변수로 갖는 모형으로,
자기 자신의 과거에 회귀시킨다는 의미에서 AR(AutoRegression)이라는 표현을 사용합니다.
자세한 건 추후 포스팅에서 다루겠습니다.
그래서 모형의 오차항 간 1차 자기상관계수는 우선 Φ라고 표현하겠습니다.
이때 1차 표본자기상관계수는 위 K차 표본자기상관계수 식에 K=1을 대입하여 얻어낸 식으로 다음과 같습니다.

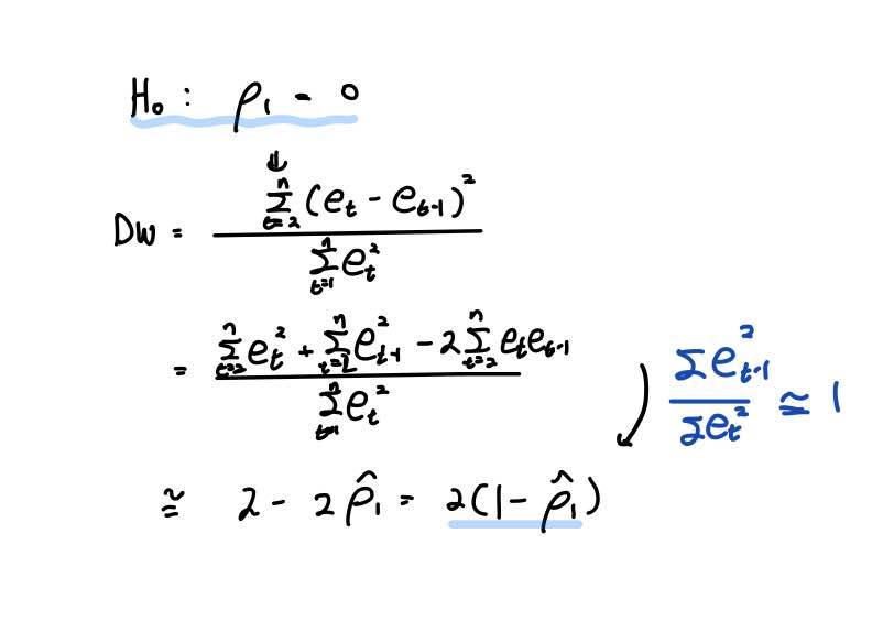
그렇다면 오차항 간 1차 자기상관관계가 있는지 검정하기 위해서 귀무가설은 H0 : Φ = 0 이라고 할 수 있겠죠.
이때 이를 검정하기 위한 Durbin-Watson 검정통계량은 다음과 같습니다.

만약 1-시차 전 오차항의 제곱합과 오차항의 제곱합이 근사적으로 같다고 가정하면,
DW 통계량은 근사적으로 2(1-ρ^) 와 같습니다.

이를 통해 양(+)의 자기상관이 있다면 DW 통계량은 0부터 2까지의 값을 갖고,
음(-)의 자기상관이 존재한다면 2부터 4까지의 값을 갖습니다.

그래서 검정규칙은 위와 같습니다.
만약 통계량이 DW 테이블의 하한값 DL보다 작으면 H0를 기각할 수 있으며,
상한값 DU보다 크면 H0를 기각할 수 없습니다.
그리고 그 사이의 값을 가지면 기각이든 채택이든 어떠한 명확한 결론을 내릴 수 없다고 합니다.
이때 하한값, 상한값은 유의수준, 관측치 수, 설명변수 개수에 따라서 결정되는데요.
Table은 여기서 자세히 보실 수 있습니다.
www.slideshare.net/Njirrming/durbin-watson-tables
Durbin watson tables
1 Appendix A Durbin-Watson Significance Tables The Durbin-Watson test statistic tests the null hypothesis that the residuals from an ordinary least-square…
www.slideshare.net
자기상관계수가 양(+)인지, 음(-)인지에 대한 검정규칙은 다음과 같습니다.

직접 Table을 보면서 값을 찾아보고, 검정해보시기 바랍니다.
감사합니다.
잘 읽으셨다면 게시글 하단에 ♡(좋아요) 눌러주시면 감사하겠습니다 :)
(구독이면 더욱 좋습니다 ^_^)
- 간토끼(DataLabbit)
- 학부 4학년(a fourth-grade undergraduate)
- University of Seoul
- Economics, Data Science
'Statistics > Time Series Analysis' 카테고리의 다른 글
| [시계열분석] 단순지수평활법(Simple Exponential Smoothing Method) (0) | 2020.11.16 |
|---|---|
| [시계열분석] 자기회귀오차모형(Autoregressive Error Model) (2) | 2020.11.12 |
| [시계열분석] 다항추세모형(2) - 선형추세모형(Linear Trend Model) (5) | 2020.11.06 |
| [시계열분석] 다항추세모형(1) - 상수평균모형 (0) | 2020.11.04 |
| [시계열분석] 시계열모형의 개념 (4) | 2020.11.03 |
