Review
참고 포스팅 :
2020/11/04 - [Statistics/Time Series Analysis] - [시계열분석] 다항추세모형(1) - 상수평균모형
[시계열분석] 다항추세모형(1) - 상수평균모형
Review 참고 포스팅 : 2020/11/03 - [Statistics/Time Series Analysis] - [시계열분석] 시계열모형의 개념 [시계열분석] 시계열모형의 개념 안녕하십니까, 간토끼입니다. 이번 포스팅은 시계열분석의 첫 포스팅
datalabbit.tistory.com
안녕하십니까, 간토끼입니다.
이전 포스팅에서는 다항추세모형 중 시계열이 일정한 수준에 머물 경우에 사용하는 상수평균모형에 대해서 다뤘습니다.
이번 포스팅에서는 일정한 수준에 머물지 않고 시간 t의 변화에 따라 상승, 혹은 하락하는 추세(Trend)를 보일 때 사용하는 선형추세모형(Linear Trend Model)에 대해 다뤄보겠습니다.

1. 선형추세모형(Linear Trend Model)
: 추세 요인이 선형의 추세를 보일 때, 즉 시간 t가 변함에 따라 시계열이 변하는 자료를 예측할 때 사용하는 모형입니다.

회귀분석에서 단순회귀모형의 형태를 떠올리면 이해하기 쉬우실 겁니다.
시간 t를 설명변수로 본다면, 이를 바탕으로 모형의 Parameter β0, β1 을 이용해 자료 Z를 추정할 수 있다는 것이죠.
이때의 Parameter β0, β1 은 마찬가지로 최소제곱법을 이용해 추정하여 최소제곱추정량 LSE를 구할 수 있습니다.
2. 2차 추세모형 or 고차 추세모형
만약 데이터가 상승하다가 하락하는 추세, 혹은 하락하다가 상승하는 추세 등 곡선의 형태를 보인다면 어떡하면 될까요?

이러한 경우에는 2차 추세모형을 적합해줍니다.
시간 t의 2차 Polynomial Term을 취해주면 됩니다. 간단하죠?
그리고 설명변수가 1개 증가했으니, 이에 따른 Parameter도 당연히 1개 증가하겠습니다.
통상적으로 2차 이상의 고차 추세모형은 먼저 선형추세모형을 적합한 후 잔차(Residual)의 Plot을 그렸을 때 곡선 형태의 패턴이 나타날 경우, 차수를 하나씩 늘려가면서 Polynomial Term을 적합해주는 것이 올바른 순서입니다.
즉 처음에 2차항을 적합한 후, 잔차 Plot을 확인하여 패턴이 나타나는지 체크하고,
만약 아직도 곡선 형태의 패턴이 보인다면 3차항도 추가하고, 확인하고 ... 이 과정을 반복해주시면 됩니다.
고차 추세모형은 이전 포스팅에서 간단하게 다뤄보긴 했으나 다시 한번 상기시켜드리자면 다음과 같이 나타낼 수 있습니다.

고차 추세모형은 위 그림에서 하단의 식과 같이 벡터 연산으로 나타낼 수 있는데요.
다중회귀모형에서의 Case를 떠올려보면, n개의 시계열자료가 있을 때 고차 추세모형은 다음과 같이 나타낼 수 있습니다.

회귀분석을 배우고 오신 분들이라면 무리없이 위 표기법이 이해되실 거라 생각합니다.
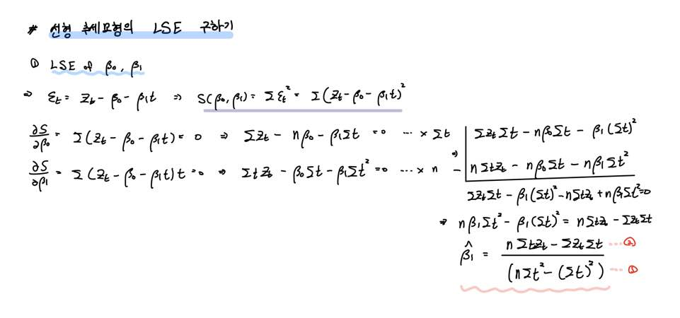
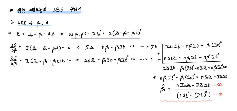
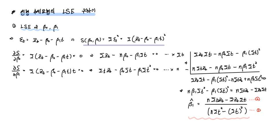
3. 선형추세모형의 최소제곱추정량(LSE) 유도
이번에는 선형추세모형의 최소제곱추정량을 유도해보도록 하겠습니다.
사실 단순회귀분석에서의 유도 방법과 동일합니다.
(단순회귀분석에서의 LSE를 모르시는 분들은 다음 링크를 참고해주세요 :
다만 단순회귀분석에서 차이점이라고 하면 이것만 알고 계시면 됩니다.

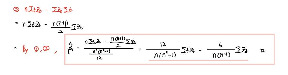
바로 자연수 1부터 n까지의 시그마합 공식인데요.
이걸 알려드리는 이유는, 단순회귀분석에서 설명변수의 합은 ∑x 라고 표현했으므로, x의 값을 알기 전까지는 구할 수 없지만,
추세모형에서는 설명변수가 x가 아닌 t 이므로, n개의 자료가 있을 때∑t는 사실상 1부터 n까지의 합과 동일합니다.
그러므로 ∑t 는 n에 대한 식으로 나타낼 수 있습니다.
자 그럼 한번 LSE를 구하는 과정에 대해서 살펴보겠습니다.

먼저 잔차제곱합 S(β0, β1) 을 만들어준 후 β0, β1 에 대해서 편미분을 해줌으로써 정규방정식을 유도해야겠죠.
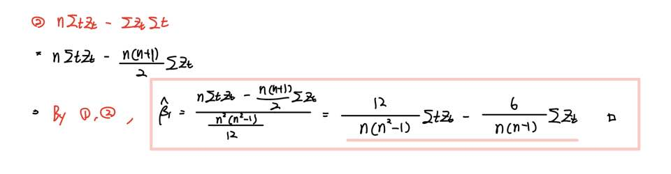
단순회귀분석에서의 경우와 동일하게 먼저 β1 의 최소제곱추정량부터 구해보겠습니다.
우측 하단을 보시면 t의 시그마합으로 이루어진 항이 분모와 분자에 모두 위치한 것을 알 수 있는데요.
먼저 분모에 해당하는 (1) 식부터 계산해보죠.

(1) 식부터 계산하면 결과는 위와 같습니다.
어려운 건 없는데 전개 과정이 약간 귀찮습니다.

다만 (2) 식은 계산이 좀 더 쉬운 편입니다.
그래서 (1), (2) 식을 정리하면 β1 의 최소제곱추정량을 구할 수 있습니다.

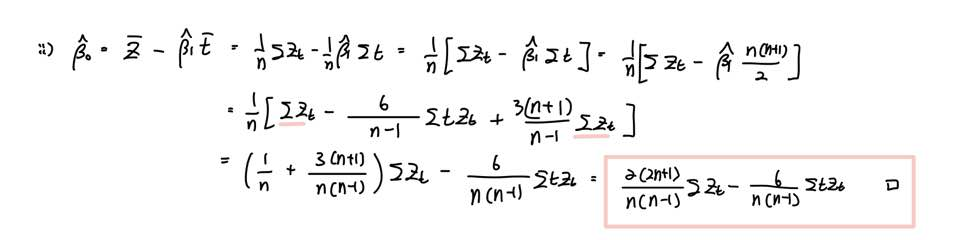
그리고 β0 의 최소제곱추정량은 단순회귀분석에서의 Case와 마찬가지로
{반응변수의 평균 - (β1^ * 설명변수의 평균 ) } 식으로 구할 수 있죠?
다만 식이 조금 복잡하지만 잘 전개해보시면 우측 하단과 같은 식으로 유도됩니다.
어렵진 않지만 최소제곱추정량을 구하는 과정이 다소 귀찮았던(?) 선형추세모형이었습니다.
감사합니다.
잘 읽으셨다면 게시글 하단에 ♡(좋아요) 눌러주시면 감사하겠습니다 :)
(구독이면 더욱 좋습니다 ^_^)
- 간토끼(DataLabbit)
- 학부 4학년(a fourth-grade undergraduate)
- University of Seoul
- Economics, Data Science
'Statistics > Time Series Analysis' 카테고리의 다른 글
| [시계열분석] 단순지수평활법(Simple Exponential Smoothing Method) (0) | 2020.11.16 |
|---|---|
| [시계열분석] 자기회귀오차모형(Autoregressive Error Model) (2) | 2020.11.12 |
| [시계열분석] Durbin-Watson(DW) Test (4) | 2020.11.11 |
| [시계열분석] 다항추세모형(1) - 상수평균모형 (0) | 2020.11.04 |
| [시계열분석] 시계열모형의 개념 (4) | 2020.11.03 |
