안녕하십니까, 간토끼입니다.
이번 포스팅에서는 행렬식(Determinant)에 대해서 다뤄보겠습니다.
내용이 다소 길어 2부작으로 나누어 올리려고 합니다.

행렬식(Determinant)이란, 정방행렬(Square Matrix)에 어떤 특정한 방법으로 하나의 수를 대응시키는 일종의 함수입니다.
개념이 다소 생소할 수 있는데요.
쉽게 말해서 행렬마다 각각 갖고 있는 특정한 값(?)을 나타내주는 것이라고 이해하시면 될 것 같습니다.
그리고 이 특정한 값은 행렬의 원소가 어떤 값이냐에 따라 다르겠죠.
사실 행렬식은 연립일차방정식의 해를 구하기 위해 고안되었다고 합니다.
예를 한번 들어보죠.

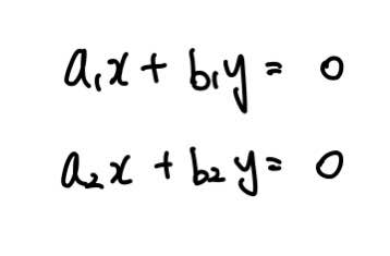
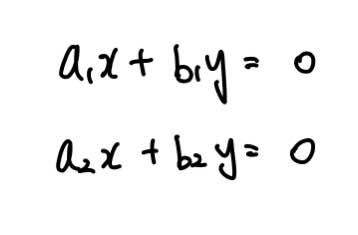
다음과 같은 간단한 연립일차방정식의 해를 구하기 위해 y를 우선적으로 소거하고자 y의 계수를 같게 만들어봅시다.

y를 소거하고자 계수를 같게 만들어준 후, y를 소거하면 x에 대한 식이 나옵니다.
이를 x로 묶어주면 계수의 곱 간의 차(-)가 발생하는데요.
a1b2 - a2b1 은 다음과 같이 간단하게 표기할 수 있습니다.

이렇게 행렬식으로 위 계수의 곱의 뺄셈을 표기할 수 있습니다.
이렇게 해서 무슨 방정식의 해를 구하냐 궁금하실 수 있는데,
추후 포스팅에서 다룰 '크래머 룰(Cramer's Rule)'에서 그 정답이 나오니 우선은 넘어가셔도 괜찮습니다.
각설하고 행렬식에 대해서 다시 알아보도록 하죠.
행렬식은 우선 다음과 같이 표기합니다.

임의의 Square Matrix A에 대하여, A의 행렬식은 |A| 혹은 det(A)라고 표기하며,
det는 행렬식 Determinant의 약자입니다.
또한 절댓값 기호와 똑같이 표기할 수도 있으므로, 문제 혹은 개념에서 '행렬'에 관해 묻고 있는지를 잘 파악하셔서 절댓값과 헷갈리는 일이 없도록 해야겠습니다.
(가급적 det(A) 란 기호로 표기하는 게 헷갈리지 않고 좋습니다.)
좀 더 공식과 친해져볼까요.
임의의 3x3 행렬 A가 다음과 같다고 가정해보겠습니다.


이를 행렬식 공식에 맞추어 생각해보면 다음과 같이 각 성분에 맞게 각각의 값을 대입해볼 수 있습니다.

우선 Submatrix의 개념에 대해서 살펴보죠.
A13 이란 기호는 A의 1행,3열을 제외한 A의 Submatrix입니다.
그리고 이 Submatrix의 행렬식을 Mij 라고 표기하며, Minor라고 부릅니다.
(소 행렬식이라고 부르는데 Minor가 더 편합니다.)
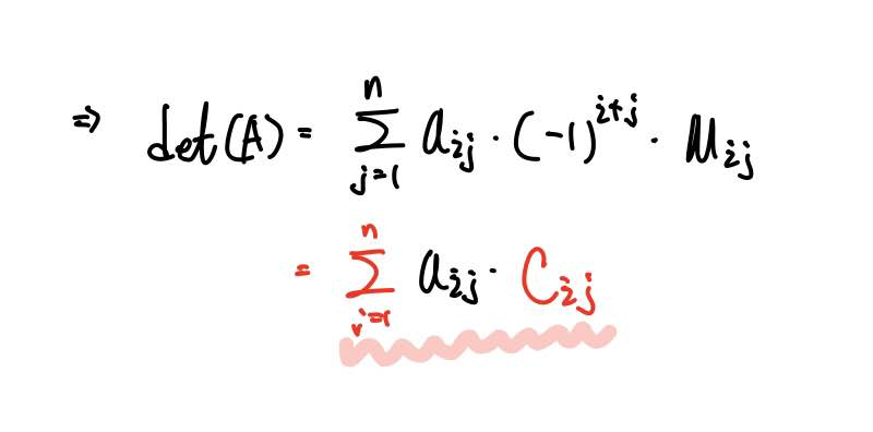
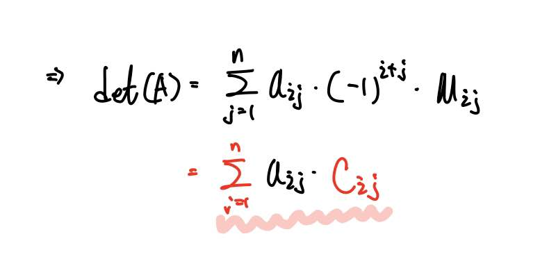
그리고 행렬식은 각각의 성분이 어디에 위치하냐에 따라 부호가 결정됩니다.
이 부호는 행과 열의 위치의 합이 짝수냐 홀수냐에 따라 양수, 음수로 결정되는데요.
이 부호와 Minor를 곱한 것을 우리는 Cofactor라고 부릅니다.
(여인수라고 부르는데 생전 처음 들어보는 단어라 그냥 Cofactor라고 하는 게 편하실 겁니다.)
따라서 행렬식은 다음과 같이 Cofactor로 축약하여 표현할 수 있습니다.

깔끔하죠?
이번엔 행렬식의 값을 직접 구해보죠.
참고로 2x2 행렬, 3x3 행렬은 값을 쉽게 구할 수 있는 방법이 있습니다.
즉 위 공식대로 구하지 않아도 됩니다.
(물론 구하는 방법은 알고 있어야 하며, 야매(?) 공식도 위 공식을 기반하여 도출됐음을 파악하고 계셔야 합니다.)

먼저 2x2 행렬은 다음과 같이 대각성분 간 곱을 하여 빼주면 됩니다.
간단하죠?

3x3 행렬은 약간 복잡해보일 수도 있는데,
먼저 행렬의 우측에 1열, 2열을 나란히 적어준 후, 좌측 상단에서 우측 하단으로 대각선을 3개 연달아 그어줍니다.
이후 유사하지만 반대 방향인 우측 상단에서 좌측 하단으로 대각선을 3개 연달아 그어줍니다.
파란색으로 표기한 것은 행렬식의 (+)값이고, 빨간색으로 표기한 것은 행렬식의 (-)값입니다.
행렬식 = (파란색의 합) - (빨간색의 합) 으로 구하면 간편하게 3x3 행렬식을 구할 수 있습니다.
이를 Sarrus의 전개라고 부릅니다.
물론 정석도 알고 있어야겠죠?
위 3x3 행렬을 정석대로 구해보겠습니다.

먼저 행렬식을 구할 땐 임의의 행이나 열을 고정시켜주어야 합니다.
저는 1행을 고정해볼게요. 그러면 i = 1이란 상수로 고정이 되겠죠?
만약 열이 더 좋다면 임의의 열을 고정시켜주어도 됩니다.
이땐 위 식에서 sigma에 걸리는 변수가 j가 아닌 i로 바뀌어야 하며, j 자리에 고정시킨 상수 값이 들어가기만 하면 됩니다.
사실 어느 행 or 열을 기준으로 할지는 행렬식에 0이 어디에 많냐를 기준으로 잡는 게 가장 좋습니다.
0을 곱하면 0이 되니까, 행렬식을 구할 때 0이 많이 걸리게 하면 계산이 간편하겠죠?
다음 포스팅에서 행렬식의 성질을 다룰 때 이 부분을 다룰 예정이니, 우선 넘어가시죠.

각설하고 행렬의 1행을 고정시킨 후, 행렬식의 공식에 따라 전개하면 다음과 같습니다.
1번을 보시면 M11이니까 행렬 A의 1행 1열을 제외한 2x2 소 행렬의 행렬식을 구하고 있는 게 보이시죠?
이런 식으로 행렬식을 전개하면 위 Sarrus의 전개에서 구한 값과 동일하게 구할 수 있으며,
행렬식은 어느 행, 열을 고정하여 값을 구하든 항상 동일한 값이 나옵니다.
그래서 본인이 편한 행, 열을 선택 후 고정하여 값을 구해주면 됩니다.
위와 같이 정석대로 식을 전개하여 구하는 것을 라플라스 전개(Laplace's development)라고 합니다.
이번 포스팅에서는 행렬식의 개념 및 값을 구하는 방법에 대해서 소개했는데요.
다음 포스팅에서는 행렬식의 성질 및 기하학적 의미를 다뤄보도록 하겠습니다.
감사합니다.
잘 읽으셨다면 게시글 하단에 ♡(좋아요) 눌러주시면 감사하겠습니다 :)
(구독이면 더욱 좋습니다 ^_^)
- 간토끼(DataLabbit)
- University of Seoul
- Economics, Big Data Analytics
'Statistics > Matrix Algebra' 카테고리의 다른 글
| [행렬대수학] 행렬식(Determinant) 3 - 역행렬(Inverse Matrix)과 행렬식의 관계 (1) | 2023.11.03 |
|---|---|
| [행렬대수학] 행렬식(Determinant) 2 - 행렬식의 유용한 성질과 수반행렬(Adjoint) (1) | 2023.11.01 |
| [행렬대수학] 전치행렬(Transposed Matrix) (1) | 2020.09.04 |
| [행렬대수학] 행렬과 사상 (4) | 2020.07.23 |
| [행렬대수학] 행렬 대수(Matrix Algebra) (0) | 2020.07.17 |
