Review
참고 포스팅 :
2020.09.05 - [Statistics/Matrix Algebra] - [행렬대수학] 행렬식(Determinant) 1 - 행렬식의 개념
[행렬대수학] 행렬식(Determinant) 1 - 행렬식의 개념
안녕하십니까, 간토끼입니다. 이번 포스팅에서는 행렬식(Determinant)에 대해서 다뤄보겠습니다. 내용이 다소 길어 2부작으로 나누어 올리려고 합니다. 행렬식(Determinant)이란, 정방행렬(Square Matrix)
datalabbit.tistory.com
안녕하십니까, 간토끼입니다.
선형대수학을 다루다가 타이밍을 놓쳐서 다시 다룰 생각이 사실 없었는데, 블로그 유입 트렌드를 보니 생각보다 몇 안 되는 포스팅들이 인기가 많더라고요.
요즘 다시 공부하고 있기도 하고 ... 인기를 이어가고자(?) 약 3년 만에 다시 시리즈를 이어가보겠습니다.
지난 포스팅에서는 행렬식의 개념에 대해서 다뤘습니다. 행렬식을 전개하는 방법을 주로 강조했었는데요.
이번 포스팅에서는 행렬식의 유용한 성질, 그리고 차후 포스팅을 위해 필요한 개념인 수반행렬(Adjoint)에 대해 다뤄보겠습니다.

1. 행렬식의 유용한 성질
먼저 행렬식을 다시 살펴보죠.

행렬식(Determinant)은 다음과 같이 쓸 수 있었습니다.
$$ det\,(A) = | \, A \, | = \sum_{j=1}^{n} (-1)^{i+j} \, a_{ij} \, det\,(A_{ij}) $$
위에서는 특정 i번째 행을 고정했지만, 행이 아닌 특정 열(column)을 고정해도 무방합니다.
이러한 행렬식은 square matrix에서만 정의할 수 있고,
matrix를 특정한 방법으로 하나의 수를 대응시키는 일종의 함수라고 말씀드렸었습니다.
그러면 이러한 행렬식의 몇 가지 성질들을 살펴보면서 행렬식을 좀 더 이해해봅시다.
(1) 단위행렬(Identity Matrix)의 행렬식은 항상 1이다.

임의의 n차원의 identity matrix의 행렬식은 항상 1입니다.
간단한 예시를 통해 이해해보죠.
$$ Let \,\, I_{2} = \begin{bmatrix} 1 & 0 \\ 0 & 1 \\ \end{bmatrix} $$
우리는 지난 포스팅을 통해 2차원 행렬의 경우 '행렬식은 대각원소의 곱끼리의 차'임을 알고 있습니다.
그러므로 $a_{11} a_{22} - a_{12} a_{21} = 1 - 0 = 1$ 이 되겠죠.
직관적인 이해를 돕기 위해 2차원 행렬을 가정했으나, 차원의 수를 확장하여도 결과는 같습니다.
(2) 행렬 $A$와 전치행렬 $A^{T}$ 의 행렬식은 같다.

행렬식이 정의되는 square matrix라면, transposed한 행렬과 행렬식이 같습니다.
즉 $ |\,A \,| = | \, A^{T} \, |$ 가 성립합니다.
위 전개 과정을 보시면 직관적으로 이해가 되실 겁니다.
(3) 행렬 $A$ 의 임의의 두 행 혹은 열을 서로 교환하여 얻어진 행렬 $B$ 의 행렬식 $|\, B \, |$ 은 $- |\, A\, |$ 이다.

행교환, 혹은 열교환을 통해 얻어진 행렬 $B$ 를 가정하면,
이 행렬의 행렬식은 기존 행렬의 행렬식에 -(음의 부호) 를 붙인 것과 같습니다.
위 예시에서는 행렬 $A$ 의 2행과 3행을 서로 교환하여 행렬 $B$ 를 정의하였습니다.
(4) 행렬 $A$ 의 임의의 행 혹은 열에 상수 $t$ 배를 한 행렬 $C$ 의 행렬식 $| \, C \, |$ = $ t \,| \, A \, |$

이번엔 임의의 행 혹은 열에 상수 $t$ 를 곱한 행렬 $C$ 를 가정해봅시다.
그러면 이 행렬의 행렬식은 기존 행렬의 행렬식에 $t$ 를 곱한 것과 같습니다.
이번엔 행렬식의 성질을 좀 더 확장해보겠습니다.
바로 '다중선형성(Multilinearity)'이라는 성질인데요.
다중선형성은 크게 가산성(Additivity) or 선형성(Linearity), 그리고 동차성(Homogeneity), 교대성(Alternating Property)로 구분해볼 수 있습니다.
하나씩 살펴보죠.
(1) 동차성(Homogeneity)

동차성은 직전에 다루었던 개념인데요.
행렬의 한 행, 혹은 열에 상수(scalar)를 곱한 경우, 행렬식은 그 스칼라를 곱한 값과 같아집니다.
$$ det\,(t \, a_{1}, a_{2}, \cdots, a_{n}) = t \, det\,(a_{1}, a_{2}, \cdots, a_{n}) $$
그리고 이걸 좀 더 다르게 생각해서 행렬 전체에 동일한 스칼라를 곱한 경우는 어떻게 될까요?
즉 $t\,A$ 의 행렬식에 대해서도 생각해볼 수 있겠죠.
답은 행렬의 차원, 즉 $n$ 만큼 제곱한 $t^{n}$ 값을 행렬식에 곱해주면 됩니다.
$$ det \, (t\,A) = det \, (t \, a_{1}, t\, a_{2}, \cdots , t\,a_{n}) = t^{n} \, det\, (A) $$
왜냐하면 한 행에 scalar를 곱했을 땐 1번만 곱해줬는데,
이걸 n개의 행, 혹은 열에 곱해주는 거니 scalar를 n번 곱해주는 것과 같기 때문이죠!
(2) 가산성(Additivity) or 선형성(Linearity)

이번엔 이러한 경우를 생각해봅시다.
행렬의 특정 행, 혹은 열이 두 벡터의 합으로 표현되는 경우죠.
위 예시에서는 1열이 두 벡터의 합으로 표현됩니다.
$$ \begin{bmatrix} 1+3 \\ 3+2 \\ 1+1 \\ \end{bmatrix} = \begin{bmatrix} 1 \\ 3 \\ 1 \end{bmatrix} + \begin{bmatrix} 3 \\ 2 \\ 1 \end{bmatrix} $$
그러므로 이 행렬의 행렬식은 두 행렬의 행렬식의 합으로 표현될 수 있습니다.
바로 두 벡터로 쪼개지는 행을 제외하고 나머지 행은 동일한 행을 갖고 있으며, 1행에만 각 벡터를 대입하여 얻은 행렬의 행렬식의 합과 같다는 거죠.
위 그림을 보면 직관적으로 이해가 되실 거라 생각합니다.
(3) 교대성(Alternating Property)
교대성은 위에서 다룬 개념입니다.
바로 행렬 $A$ 의 임의의 두 행 혹은 열을 서로 교환하여 얻어진 행렬 $B$ 의 행렬식 $|\, B \, |$ 은 $- |\, A\, |$ 라는 성질이죠.

넘어가겠습니다.
(4) 곱셉성(Multiplicativity)
다중선형성과는 조금 다른 성질이지만, 종종 함께 언급되는 성질입니다.

두 행렬 $A$, $B$ 의 곱의 행렬식은 각각의 행렬식의 곱과 같다는 것입니다.
그렇다면 이런 선형적인 케이스도 생각해볼 수 있지 않을까요?
바로 $det \, (A + B)$ 와 $det\,(A) + det\, (B)$ 가 같을까에 대한 질문인데요.
정답은 '안 된다' 입니다. ㅜㅜ

직관적으로 이해하기 위해 2차원 행렬을 가정해봅시다.
$$ Let \,\, A = (a_{1}, a_{2}) , B = (b_{1}, b_{2}) $$
그러면 이 두 행렬의 합의 행렬식을 정의하고, 전개하면 다음과 같습니다.
$$ det\,(A + B) = det\,(a_{1} + b_{1}, a_{2} + b_{2}) = \cdots = |\,A\,| + |\, B \,| + det\,(b_{1}, a_{2}) + det\,(a_{1}, b_{2}) $$
전개 과정에서 (2) 선형성의 성질을 사용했습니다.
즉 $det\,(A+B)$ 에서는 $det\,(b_{1}, a_{2}) + det\,(a_{1}, b_{2})$ 의 항이 발생하므로 같지 않습니다.
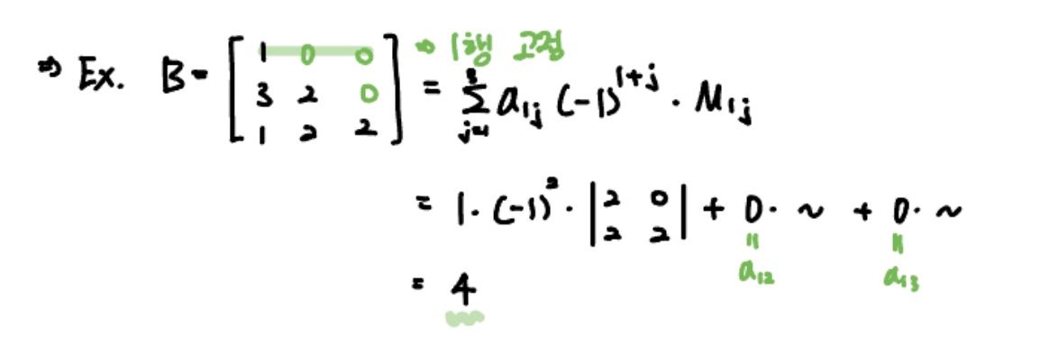
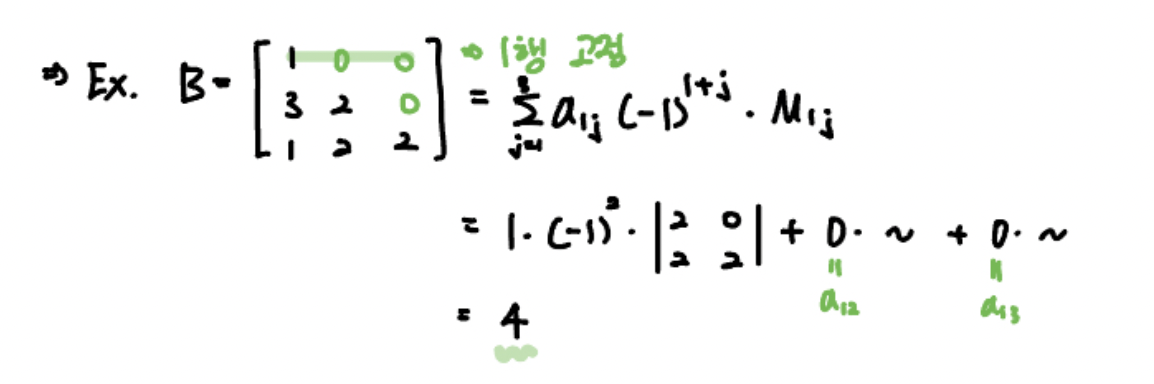
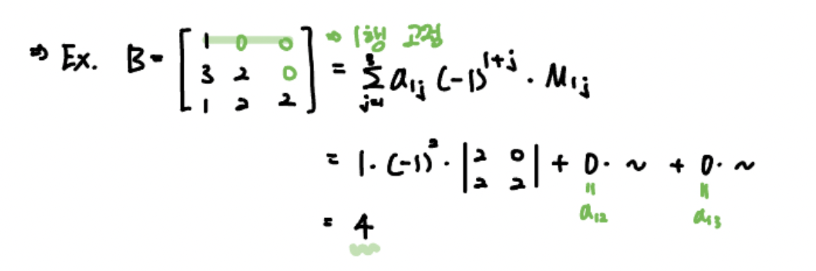
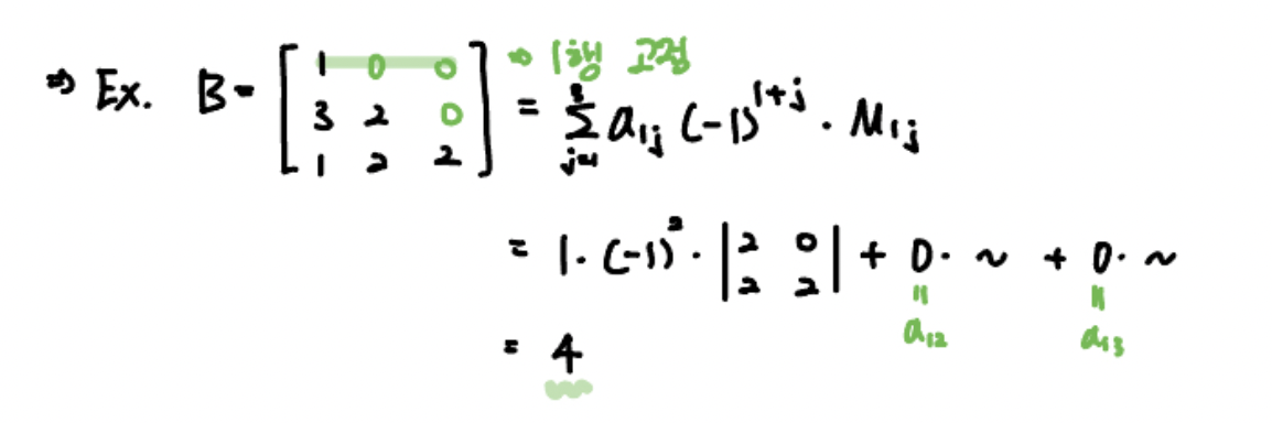
이번엔 특이한 행렬을 잠시 소개해보겠습니다.
바로 삼각행렬(Triangular Matrix) 입니다.
삼각행렬은 크게 상삼각행렬(Upper Triangular Matrix)과 하삼각행렬(Lower Triangular Matrix)로 구분할 수 있는데요.

이 삼각행렬은 보시다시피 삼각형의 부분을 제외한 나머지 부분이 0인 행렬입니다.
그러므로 삼각행렬의 행렬식은 행렬의 대각성분을 곱한 값이 됩니다.
위 하삼각행렬의 예시인 $B$ 를 한번 행렬식의 전개 과정에 따라 전개해보겠습니다.

1행을 고정하고 전개해보았더니 동일하게 $4$ 가 도출됨을 알 수 있습니다.
지난 포스팅에서 행렬식을 전개할 때 0이 많은 행이나 열을 고정하면 계산이 유리함을 강조했었습니다.

그러한 의미에서 포스팅의 초반 부분에서 다룬 '단위행렬의 행렬식은 항상 1이다'의 개념은 위 삼각행렬의 성질과도 이어질 수 있습니다.
단위행렬 또한 삼각행렬의 케이스 중 하나이기 때문이죠.
물론 주대각성분이 1이고 나머지는 0이므로, 상삼각행렬이 될 수도 있고, 하삼각행렬이 될 수도 있죠.
좀 더 개념을 확장하면 이렇게 주대각성분을 제외한 나머지 원소가 0인 행렬을 대각행렬(Diagonal Matrix)라고 합니다.

그리고 모든 대각행렬은 삼각행렬의 특별한 경우이고, 단위행렬은 이러한 대각행렬의 한 예입니다.
2. 수반 행렬(Adjoint)
이번엔 새로운 개념을 소개해보겠습니다.
바로 수반 행렬, adjoint라고 불리는 행렬인데요. 수반 행렬은 다소 생소하니 ... 그냥 앞으로 adjoint라고 하겠습니다.

행렬 A의 adjoint는 다음과 같이 정의할 수 있습니다.
바로 여인수(cofactor)로 이루어진 행렬을 전치시킨 행렬인데요.
위에서 보시는 것처럼 각 cofactor를 transpose 시킨 꼴임을 이해하실 수 있겠죠.

행렬 $A$ 를 2차원 행렬이라고 가정합시다.
$$ \begin{bmatrix} a_{11} & a_{12} \\ a_{21} & a_{22} \end{bmatrix} $$
그러면 행렬의 cofactor는 $c_{11} = a_{22}, c_{21} = - a_{12}, c_{12} = - a_{21}, c_{22} = a_{11} $ 라고 할 수 있겠죠.
adjoint는 이 cofactor로 이루어진 행렬을 transpose한 꼴이니까 다음과 같습니다.
$$ adj(A) = \begin{bmatrix} a_{22} & -a_{12} \\ -a_{21} & a_{11} \end{bmatrix} $$
이 adjoint는 행렬의 역행렬을 구하는 데 매우 유용하게 활용됩니다.
다음 포스팅에서는 역행렬에 대해 소개하고, 행렬식과 역행렬의 관계를 다뤄보도록 하겠습니다.
감사합니다.
잘 읽으셨다면 게시글 하단에 ♡(좋아요) 눌러주시면 감사하겠습니다 :)
(구독이면 더욱 좋습니다 ^_^)
* 본 블로그는 학부생이 운영하는 블로그입니다.
따라서 포스팅에 학문적 오류가 있을 수 있으며, 이를 감안해서 봐주시면 감사하겠습니다.
- 간토끼(DataLabbit)
- B.A. in Economics, Data Science at University of Seoul
'Statistics > Matrix Algebra' 카테고리의 다른 글
| [행렬대수학] 행렬식(Determinant) 4 - 크래머의 법칙(Cramer's Rule) (0) | 2023.11.05 |
|---|---|
| [행렬대수학] 행렬식(Determinant) 3 - 역행렬(Inverse Matrix)과 행렬식의 관계 (1) | 2023.11.03 |
| [행렬대수학] 행렬식(Determinant) 1 - 행렬식의 개념 (8) | 2020.09.05 |
| [행렬대수학] 전치행렬(Transposed Matrix) (1) | 2020.09.04 |
| [행렬대수학] 행렬과 사상 (4) | 2020.07.23 |
