안녕하십니까, 간토끼입니다.
이번 카테고리에서는 Matrix Algebra, 행렬대수학에 대해 다뤄보도록 하겠습니다.
보통은 선형대수학(Linear Algebra)를 다루는 게 일반적인데요.
굳이 행렬대수학이라고 한 이유는 통계학을 위한 선형대수학만을 다룰 예정이므로, 선형대수학의 엄밀한 부분까지 다루진 않으려고 합니다. (사실 자신도 없고요 ㅎㅎ)

통계학에서 행렬의 역할은 매우 중요합니다.
통계분석 과정에서 발생하는 수학적 연산을 간단하고 명료하게 표현해낼 수 있다는 점에서 행렬이 갖는 의의는 상당합니다.
실제로 행렬을 사용하여 복잡한 연립방정싱의 문제를 풀 수 있는데요.
한번 예를 들어보죠.

우리가 중학교 때 방정식에 대해서 배우고, 이러한 연립방정식을 푸는 방법에 대해서도 배웠습니다.
위 문제는 방정식이 2개이고, 방정식의 해도 2개(x1, x2)인 문제이죠?
보통은 우리가 이러한 연립방정식 문제를 풀기 위해서는 비교적 단순하게(?) 접근하였습니다.
바로 특정 미지수의 계수를 서로 같게 만들어줌으로써 특정 항을 소거하고,
미지수 하나에 대한 식으로 만듦으로써 미지수의 값을 구한 후, 이 미지수를 식에 대입함으로써 다른 미지수의 값도 구하였습니다.
바로 이렇게 구했죠.

위와 같은 문제는 사실 중학교 수준에서도 충분히 풀 수 있을 정도로 단순합니다.
식도 2개이고, 미지수도 2개밖에 없으므로, 단순히 연립방정식을 이용한 해법으로도 쉽게 풀 수 있다는 거죠.
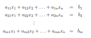
하지만 미지수가 n개인 선형방정식이 m개 있는 문제를 푼다면 어떻게 될까요?

바로 이런 문제이죠.
아마 이런 문제를 손으로 푼다고 생각하면 굉장히 오래 걸릴 것입니다.
특히 n과 m이 충분히 큰 수라고 가정하면... 손으로 풀 수 없을지도 모릅니다.
이때 우리는 행렬을 이용하면 간단하게 문제를 풀 수 있습니다
먼저 위 간단한 연립방정식 문제를 행렬로 표기하면 다음과 같습니다.

방정식의 계수 부분을 행렬로 표현할 수 있습니다.
이를 계수행렬(Coefficient Matrix)이라고 합니다.
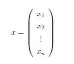
그리고 방정식의 해로 이루어진 [x1 x2] 부분을 일반적으로 벡터(vector)라고 부릅니다.
따지고 보면 행렬이라고 할 수도 있습니다. 여기서 차원을 한번 얘기해보죠.

먼저 행렬의 정의를 보면 행과 열로 이루어진 직사각형 모양의 배열입니다.
가로 줄을 행(Row)라고 부르고, 세로 줄을 열(Column)이라고 부르는데요.
그렇기에 행렬 A는 3행 3열로 이루어진 행렬이라고 할 수 있으며, 이 행과 열의 수를 우리는 차원(Dimension)이라고 할 수 있습니다.
차원의 엄밀한 정의는 다음에 다루도록 하고요. 가볍게 알아두시면 좋을 것 같습니다.
따라서 행렬 A는 3 x 3 행렬(Matrix)라고 정의할 수 있습니다.
그렇기에 이러한 정의를 이용하면 위에서 정의한 벡터는 2 x 1 Matrix라고 할 수 있습니다.현재 타이핑으로 표현하므로 불가피하게 가로로 [x1 x2]라고 표현했지만, 위 참고 이미지를 보시면 세로로 표현돼있죠?이를 열벡터(Column Vector)라고 합니다.
가로로 표현하는 형태는 행벡터(Row Vector)라고 하고요.
따라서 위 정의들을 바탕으로 개념을 확장해보겠습니다.

이러한 선형방정식 문제를 행렬 표기법으로 나타내면

계수행렬 A는 다음과 같이 m x n Matrix 형태로 표현할 수 있으며

방정식의 해로 이루어진 벡터 x를 vector라고 할 수도 있고, n x 1 Matrix라고도 할 수 있습니다.

방정식의 우항은 마찬가지로 vector로 표현할 수 있겠죠?
이를 종합하면 위 문제는 다음과 같이 축약하여 표현할 수 있습니다.

이러한 문제를 다음과 같이 Ax = b 형태로 표현하여 푸는 과정을 선형 시스템(Linear System)이라고 하며,
행렬을 이용하면 선형 시스템을 효과적으로 풀 수 있습니다.
그리고 이를 확장함으로써 통계적인 관점에서도 행렬이 굉장히 유용하게 쓰일 수 있습니다.
다음 포스팅에서는 이러한 선형 시스템의 해를 구하는 방법론을 소개하면서 점차적으로 행렬대수학을 다뤄보도록 하겠습니다.
감사합니다.
잘 읽으셨다면 게시글 하단에 ♡(좋아요) 눌러주시면 감사하겠습니다 :)
(구독이면 더욱 좋습니다 ^_^)
- 간토끼(DataLabbit)
- University of Seoul
- Economics, Big Data Analytics
'Statistics > Matrix Algebra' 카테고리의 다른 글
| [행렬대수학] 전치행렬(Transposed Matrix) (1) | 2020.09.04 |
|---|---|
| [행렬대수학] 행렬과 사상 (4) | 2020.07.23 |
| [행렬대수학] 행렬 대수(Matrix Algebra) (0) | 2020.07.17 |
| [행렬대수학] 가우스-조던 소거법(Gauss-Jordan Elimination) (2) | 2020.07.01 |
| [행렬대수학] 가우스 소거법(Gaussian Elimination) (2) | 2020.06.28 |
