Review
참고 포스팅 :
2020.09.05 - [Statistics/Matrix Algebra] - [행렬대수학] 행렬식(Determinant) 1 - 행렬식의 개념
2023.11.01 - [Statistics/Matrix Algebra] - [행렬대수학] 행렬식(Determinant) 2 - 행렬식의 유용한 성질과 수반행렬(Adjoint)
2023.11.03 - [Statistics/Matrix Algebra] - [행렬대수학] 행렬식(Determinant) 3 - 역행렬(Inverse Matrix)과 행렬식의 관계
2023.11.05 - [Statistics/Matrix Algebra] - [행렬대수학] 행렬식(Determinant) 4 - 크래머의 법칙(Cramer's Rule)
[행렬대수학] 행렬식(Determinant) 4 - 크래머의 법칙(Cramer's Rule)
HTML 삽입미리보기할 수 없는 소스Review 참고 포스팅 : 2020.09.05 - [Statistics/Matrix Algebra] - [행렬대수학] 행렬식(Determinant) 1 - 행렬식의 개념 2023.11.01 - [Statistics/Matrix Algebra] - [행렬대수학] 행렬식(Determi
datalabbit.tistory.com
안녕하십니까, 간토끼입니다.
어느덧 행렬식(Determinant) 시리즈의 마지막 포스팅입니다.
지난 포스팅에서는 행렬식을 이용해 해(Solution)를 구하는 방법인 크래머의 법칙(Cramer's Rule), 때때로 크라메르의 법칙이라고도 불리는 공식에 대해 다루었습니다.
이번 포스팅에서는 행렬식을 좀 더 직관적으로 이해할 수 있도록 행렬식의 기하학적인 의미(Geometrical Meaning of Determinant)에 대해 다뤄보겠습니다.

1. 행렬은 사상이다.
과거 포스팅에서 '행렬은 사상'이라는 개념에 대해 다루었었습니다.

이는 $ y = f(x)$ 라는 함수를 생각했을 때 함수 $f$ 가 주어진 변수 $x$ 를 새로운 변수 $y$ 로 보내주는 것에서 기인한다고 했었죠.
2020.07.23 - [Statistics/Matrix Algebra] - [행렬대수학] 행렬과 사상
[행렬대수학] 행렬과 사상
Review 참고 포스팅 : 2020/07/17 - [Statistics/Matrix Algebra] - [행렬대수학] 행렬 대수(Matrix Algebra) [행렬대수학] 행렬 대수(Matrix Algebra) 안녕하십니까, 간토끼입니다. 지난 포스팅에서는 선형 시스템(Linear S
datalabbit.tistory.com
즉 다음과 같은 선형시스템 $Ax = y$ 또한 벡터 $x$ 에 행렬 $A$ 가 곱해지면서 새로운 벡터인 $y$로 보내지는 구조임을 떠올리면 행렬 $A$ 가 사상(mapping)이라는 것을 이해하실 수 잇을 겁니다.
물론 행렬이 사상의 역할을 하기 위해서는 곱해지는 행렬과 벡터의 차원(Dimension)을 고려해줘야 한다는 것이 차이점이 될 수 있겠네요.
$y = f(x)$ 의 관계에서도 주어진 함수 $f$ 가 어떤 형태이냐에 따라서 종속변수 $y$ 가 갖는 값이 달라졌었죠.
즉 다시 생각해보면 $y = Ax$ 꼴의 선형시스템에서도 행렬 $A$ 가 어떤 행렬이냐에 따라 벡터 $y$ 가 어떤 벡터가 될지 알 수 있을 겁니다.

이러한 개념을 갖고 다음 예시를 살펴봅시다.

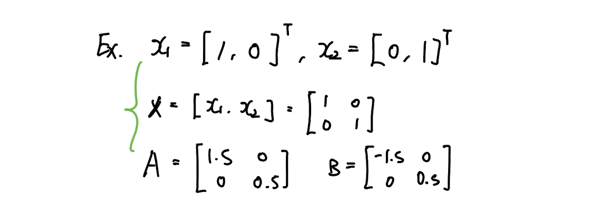
위와 같이 벡터 $x_{1} = [ 1, 0 ] ^{T}, x_{2} = [0, 1]^{T}$ 가 주어져있다고 합시다.
이 벡터를 column vector로 갖는 행렬 $X$ 는 2차원 identity matrix가 되겠네요.
그리고 두 행렬이 주어져있습니다.
$$ A = \begin{bmatrix} 1.5 & 0 \\ 0 & 0.5 \end{bmatrix} , B = \begin{bmatrix} -1.5 & 0 \\ 0 & 0.5 \end{bmatrix} $$
$x$ 벡터들로 이루어진 행렬 $x = [\, x_{1}, x_{2} \,]$ 에 위 행렬 $A$ 와 $B$ 를 각각 곱했을 때 어떤 행렬이 만들어지는지 보도록 하겠습니다.

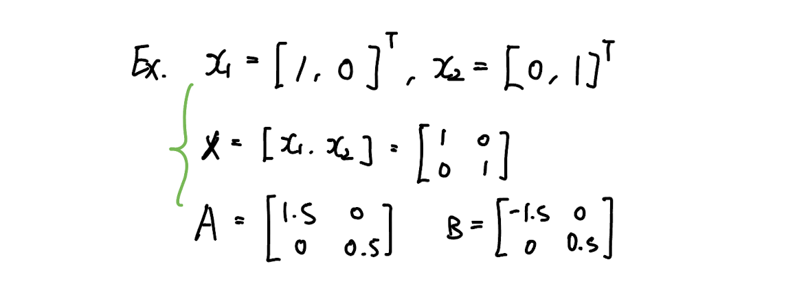
$x_{1}, \, x_{2}$ 가 이루고 있던 공간을 도식하면 위 그림의 좌측과 같습니다.
이 공간은 2차원 공간이므로 면적이 되겠죠. 이 면적의 크기는 1입니다.
이때 행렬 $A$ 를 곱해주면 $Ax$ 의 column vector들이 이루는 공간은 우측과 같이 변환됩니다.
$$ Ax = \begin{bmatrix} 1.5 & 0 \\ 0 & 0.5 \end{bmatrix} $$
벡터 $x_{1}$ 은 $[1,0]^{T}$ 에서 $[1.5 , 0]^{T}$ 로 변환됐죠.
그리고 $x_{2}$ 은 $[0,1]^{T}$ 에서 $[0 , 0.5]^{T}$ 로 변환됐고요.
이는 결론적으로 행렬 $A$ 에 의해, $x_1$ 은 1.5배 확대된 셈이 됐고, $x_2$ 는 0.5배로 확대된 셈이 됐네요.
이번엔 행렬 $B$ 를 곱해보죠.

$Bx$ 의 column vector들이 이루는 공간은 우측과 같이 변환됩니다.
$$ Bx = \begin{bmatrix} -1.5 & 0 \\ 0 & 0.5 \end{bmatrix} $$
벡터 $x_{1}$ 은 $[1,0]^{T}$ 에서 $[-1.5 , 0]^{T}$ 로 변환됐죠.
그리고 $x_{2}$ 은 앞선 케이스와 동일하게 $[0,1]^{T}$ 에서 $[0 , 0.5]^{T}$ 로 변환됐고요.
이는 결론적으로 행렬 $B$ 에 의해, $x_1$ 은 -1.5배 확대된 셈이 됐고, $x_2$ 는 0.5배로 확대된 셈이 됐네요.
표현을 -1.5배라고 하긴 했지만 연연해하지마시고 이 의미는 바로 다시 살펴보겠습니다.
위 행렬 $A$ 와 $B$ 는, 모두 벡터 $x_1$, $x_2$ 를 변환시켰죠.
이 행렬들은 벡터를 늘리거나 줄이고, 방향을 바꾸기도 했습니다.
결론적으로는 행렬 $A$ 와 $B$ 에 의해 $x$ 가 이루고 있던 공간이 새로운 공간으로 매핑됐다는 게 핵심인데요.
다만 이때 공간을 축소시키거나 차원을 줄이지 않고, 그저 전체 공간을 다른 형태로 매핑했다는 것이죠!
이때 행렬식(Determinant)은 행렬의 선형변환의 특성(벡터를 늘리거나 줄이거나 방향을 바꾸는 등)을 요약한 값이 될 수 있습니다.

행렬 $A$ 의 행렬식은 대각성분만 곱해주면 되니 $\frac{3}{4}$ 가 되겠죠.
그리고 좌측 기존 공간의 크기는 1이었는데, 우측의 새로운 공간의 크기는 $\frac{3}{4}$ 가 됐고요.
마찬가지로 행렬 $B$ 의 행렬식은 대각성분만 곱해주면 되니 $- \frac{3}{4}$ 가 되겠네요.
그리고 좌측 기존 공간의 크기는 1이었는데, 우측의 새로운 공간의 크기는 $- \frac{3}{4}$ 가 됐고요.
이때 면적의 넓이를 구할 땐 절댓값을 취해줘야 하니, 면적의 크기(넓이)는 $\frac{3}{4}$ 으로 동일하고, 다만 방향이 기존 방향에서 반대 방향으로 바뀌었네요.
이를 통해 우리는 다음과 같은 사실을 도출할 수 있습니다.
바로 기존 벡터들이 이루고 있던 공간의 부피(여기선 2차원이므로 면적)를 곱해지는 행렬의 determinant 만큼 변화된다는 것이죠!
그러므로 우리는 행렬식(Determinant)을 부피(면적)의 확대율이라고 할 수 있습니다.
만약 기존 공간을 $\begin{bmatrix} \frac{1}{2} & 0 \\ 0 & \frac{3}{2} \end{bmatrix}$ 라고 하고, 이때의 면적을 $\frac{3}{4}$ 이라고 합시다.

그러면 행렬 $A = \begin{bmatrix} 2 & 0 \\ 0 & \frac{1}{2} \end{bmatrix} $을 $x$ 에 곱하면 우측과 같이 변환되고, 이때 행렬식의 크기(절댓값)는 1이므로, 선형변환된 공간의 크기는 기존 $\frac{3}{4}$ 으로 동일합니다.
즉 공간의 형태는 변했지만, 공간의 크기는 행렬식이 1이므로 바뀌지 않았다는 게 포인트입니다.
2. 행렬식의 기하학적 의미
이처럼 행렬식은 '선형변환의 특정 기하학적 성질을 나타내는 스칼라 값' 이라고 표현할 수 있습니다.
행렬이 공간에서 벡터를 어떻게 움직이게 하는지, 그리고 그 움직임의 '크기'와 '방향'을 나타내는 하나의 수치라고도 할 수 있는 거죠.
그리고 위에서 언급한 것처럼 행렬식은 '부피의 확대율'을 의미합니다.
어떤 행렬이 두 벡터를 변환한다면, 그 두 벡터로 형성되는 사각형의 '면적이 어떻게 변하는지(확대되는지)'를 행렬식이 수치로 나타내줍니다.
그러므로 행렬식은 복잡한 선형 변환을 하나의 숫자(스칼라)로 요약해줌으로써 그 변환의 특성을 쉽게 이해할 수 있도록 돕습니다.
(1) 크기
: 행렬식의 절댓값은 선형변환 후의 벡터들이 이루는 공간(ex. 면적, 부피 등)의 '크기'를 나타냅니다.
만약 이 절댓값이 크면 공간을 더 크게 확대시킬 것이고, 그렇지 않다면 공간을 더 작게 만든다는 것이겠죠.
(2) 방향
: 행렬식의 부호(양 혹은 음)는 변환으로 인해 공간의 '방향'이 유지되는지, 혹은 뒤집히는지를 나타냅니다.
양수면 유지되겠고, 음수면 반대 방향으로 반전되겠죠. 위 행렬 $A$ 와 $B$ 의 예시처럼요!
3. 행렬식이 0일 때의 선형변환
위에서 다룬 예시들은 행렬식이 0이 아닐 때, 즉 행렬식이 0이 아닌 non-singular matrix에 의한 선형변환은 주어진 벡터들이 이루는 공간을 다른 공간으로 매핑(mapping)시켰죠.
이 매핑의 특징은 공간의 차원을 줄이거나 축소하지 않고 다른 형태의 공간으로 옮긴다는 것이었죠.
그렇다면 행렬식이 0인 행렬에 의한 선형변환은 어떻게 될까요?

예상하셨겠지만 행렬식이 0인 행렬에 의한 선형변환은 주어진 벡터, 행렬의 차원의 축소를 수반합니다.
그리고 이는 변환된 공간이 원래 공간보다 낮은 차원을 가지게 됨을 의미하죠.
다음 예시를 통해 살펴봅시다.

주어진 2차원 벡터 $x_{1} = [2, 1]^{T}, \,\, x_{2} = [0, 2]^{T}$ 가 이루는 2차원 공간을 생각해봅시다.
이 벡터들이 이루는 공간의 크기는 '면적'이 되겠죠.
그리고 행렬 $A = \begin{bmatrix} 1 & -2 \\ \frac{1}{2} & -1 \end{bmatrix}$ 는 행렬식이 0이므로 singular matrix 입니다.
그러면 이 행렬 $A$ 에 의해 주어진 벡터들의 행렬 $x$ 를 선형변환하면 어떻게 될까요?
$$ Ax = \cdots = \begin{bmatrix} 0 & -4 \\ 0 & -2 \end{bmatrix} $$
곱하는 과정은 생략했지만 계산해보시면 위와 같이 계산됨을 아실 수 있습니다.
$Ax$ 의 1열은 0으로만 이루어진 벡터죠. 2차원 공간에서의 어떠한 방향도 나타내지 않는 원점이 됩니다.
그리고 2열은 벡터가 되겠네요.
그러므로 주어진 $Ax$ 는 1차원 공간인 직선을 나타내고, 이 직선은 두 번째 column vector의 방향을 따르게 되겠죠.
이렇듯 행렬 $A$ 에 의한 이 선형변환은 $x$ 가 형성하는 2차원 공간의 일부를 1차원으로 축소시킵니다.
이는 선형변환에 의해 첫 번째 column vector가 원점으로 매핑되면서 공간의 차원이 감소한 것을 의미합니다.
그러면 2차원 공간(면적)이 1차원 공간(직선)으로 축소된 거잖아요?
이때 이 2차원 공간(면적)은 행렬식을 통해 계산될 수 있습니다.

주어진 행렬의 행렬식은 행렬 그 자체로 이루는 공간의 부피(volume)와 같습니다.
이때 부피는 음수가 될 수 없으니, 행렬식의 절댓값은 부피(volume)이 되겠죠.
위 그림의 예시를 살펴보시면, 주어진 벡터 $x$ 들이 이루는 공간인 면적의 크기도 행렬식인 1로 계산될 수 있었고,
우측 또한 마찬가지로 $det\,(Ax)$ 를 구하면 $\frac{3}{4}$ 가 되고, 이는 실제로 직사각형의 넓이를 대수적으로 구해봐도 동일함을 알 수 있죠.
정리하면 다음과 같습니다.

만약 주어진 벡터가 2차원 공간을 형성하고 있다면 이때 행렬식의 절댓값은 이 평면의 '면적'이 될 것이고,
3차원 공간을 형성하고 있다면 행렬식의 절댓값은 이 공간의 '부피'를 의미할 것입니다.
행렬식이 공간의 부피(volume)를 의미한다는 것을 이해하셨다면 다음 행렬식의 성질도 쉽게 이해하실 겁니다.
앞선 포스팅에서 주어진 행렬의 특정 열, 혹은 행에 임의의 scalar $t$ 를 곱해주면, 이때의 행렬식은 기존 행렬의 행렬식에 $t$ 를 곱해준 것과 같다고 했었죠.

기존 벡터공간이 좌측이라면, 벡터 $a_{1}$ 에 상수 $t$ 를 곱해주면 해당 벡터의 크기를 $t$ 배 늘리잖아요?
그러므로 부피가 $t$ 배 늘어나는 것과 동일하고, 이때의 부피는 '행렬식'과 같으므로 기존 행렬식에 $t$ 를 곱해준 것과 동일하겠죠.
여기까지 행렬식에 대해서 다뤄보았습니다. 긴 시리즈였네요.
다음 포스팅부터는 벡터 공간(Vector Space)에 대해 다뤄보겠습니다.
감사합니다.
잘 읽으셨다면 게시글 하단에 ♡(좋아요) 눌러주시면 감사하겠습니다 :)
(구독이면 더욱 좋습니다 ^_^)
* 본 블로그는 학부생이 운영하는 블로그입니다.
따라서 포스팅에 학문적 오류가 있을 수 있으며, 이를 감안해서 봐주시면 감사하겠습니다.
- 간토끼(DataLabbit)
- B.A. in Economics, Data Science at University of Seoul
'Statistics > Matrix Algebra' 카테고리의 다른 글
| [행렬대수학] 행렬식(Determinant) 4 - 크래머의 법칙(Cramer's Rule) (0) | 2023.11.05 |
|---|---|
| [행렬대수학] 행렬식(Determinant) 3 - 역행렬(Inverse Matrix)과 행렬식의 관계 (1) | 2023.11.03 |
| [행렬대수학] 행렬식(Determinant) 2 - 행렬식의 유용한 성질과 수반행렬(Adjoint) (1) | 2023.11.01 |
| [행렬대수학] 행렬식(Determinant) 1 - 행렬식의 개념 (8) | 2020.09.05 |
| [행렬대수학] 전치행렬(Transposed Matrix) (1) | 2020.09.04 |
