Review
참고 포스팅 :
2020/10/24 - [Statistics/Econometrics] - [계량경제학] Ramsey RESET test
[계량경제학] Ramsey RESET test
Review 참고 포스팅 : 2020/10/22 - [Statistics/Econometrics] - [계량경제학] 함수 형태의 설정 오류 문제(Functional Form Misspecification) [계량경제학] 함수 형태의 설정 오류 문제(Functional Form Misspe..
datalabbit.tistory.com
안녕하십니까, 간토끼입니다.
지난 포스팅에서는 함수 형태의 설정 오류 문제(Functional Form Misspecification)를 탐지하기 위한 기법 중 하나인 Ramsey의 RESET Test에 대해서 다뤄보았습니다.
이번 포스팅에서는 서로 포함되지 않는 두 모형(Nonnested Models)을 놓고 어느 모형이 타당한지 비교하는 Test에 대해 다뤄보도록 하겠습니다.

이번 포스팅의 내용을 다루기 전에 Nonnested Model에 대한 개념 설명을 하고 시작하겠습니다.
이게 번역하기가 좀 애매한데요... Nonnested란 불포함? 불내포? 아무튼 포함하지 않는다는 의미입니다.
예를 한번 보시면 직관적으로 이해가 되실 겁니다.
Nonnested는 nested의 반대이니까 Nested Model에 대해서 먼저 설명을 해보죠.

Nested Model이란 위와 같이 두 모델이 서로 포함 관계가 있는 경우를 말합니다.
만약 (2)번 모형의 δ_(2) = 0 이라면 두 모델의 형태는 서로 같은 꼴을 취합니다.
이럴 경우 서로가 서로에 대한 포함 관계를 갖게 되죠.

하지만 (1)번 모형은 Linear Form이지만, (2)번 모형은 Logarithm Form이라면 어떻게 될까요?
각 모형의 회귀계수를 따져봐도 Linear form과 Log form의 값이 같아지긴 어려워 보입니다.
즉 서로가 서로를 포함하지 않는다는 걸 직관적으로 아실 수 있죠.
이러한 모형을 Nonnested Model이라고 합니다.
즉 포함 관계가 없으므로 Standard F-Test를 적용할 수 없어 어느 모형이 더 나은 모형인지, 실제로 유의한 회귀계수가 어떤 것인지 동일 선상에 놓고 비교하기 어렵습니다.
이런 곤란한 경우에 사용할 수 있는 접근법이 2가지 정도 있습니다.
하나씩 보시죠.
1. Mizon and Richard(1986) Test

Mizon and Richard란 학자가 1986년에 고안한 Test입니다.
바로 위에서 다루었던 Nonnested Model을 하나로 합쳐 Comprehensive Model을 구축한 후 F-test를 하는 건데요.
보시면 두 모델이 하나로 합쳐진 꼴을 보이고 있죠?
이때 F-test를 이용해 (2)번 모형의 회귀계수가 모두 0이라는 귀무가설이 받아들여진다면, (1)번 모형의 형태가 적절하다는 의미를 갖습니다.
반대로 (1)번 모형의 회귀계수가 모두 0이라면, (2)번 모형이 적절한 모형이라는 의미겠죠.
직관적으로 이해될 것이라 생각합니다.
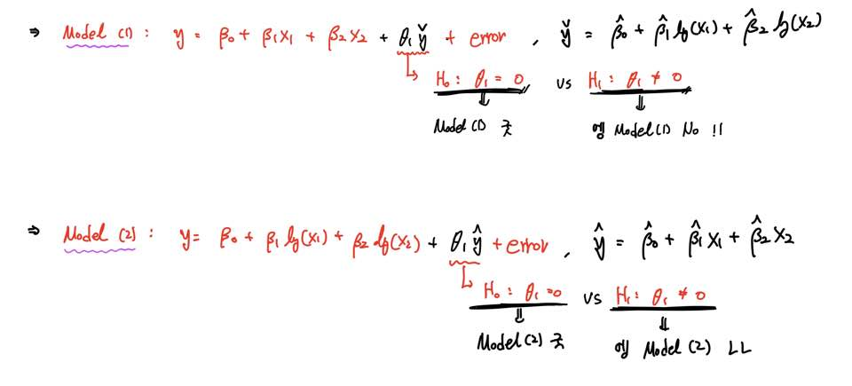
2. Davidson-MacKinnon(1981) Test

그 다음으로 다룰 Test는 Davidson과 MacKinnon 이 고안한 Test입니다.
이 Test는 각 모델의 fitted value를 서로의 모델에 넣어 유의한지 확인해보는 기법인데요.
fitted value를 넣어본다는 점에서 RESET test랑 유사한 측면이 있네요.
그래서 만약 (1)번 모형이 참이라면, (2)번 모형의 fitted_value의 회귀계수는 (1)번 모형에서 유의하지 않을 것입니다.
이러한 매커니즘으로 어떠한 함수의 형태가 유의한지 Test하는 것입니다.

Model(1)에서 살펴볼 땐 Model(2)의 fitted value를 넣어 회귀계수가 0인지 아닌지를 검정하며,
반대로 Model(2)에서 살펴볼 땐 Model(1)의 fitted value를 넣어 회귀계수가 0인지 아닌지를 검정합니다.
만약 Model(1)에서 Model(2)의 fitted value의 회귀계수가 유의하게 0이고(귀무가설 H0를 받아들인다면),
Model(2)에서 Model(1)의 fitted value의 회귀계수가 유의하게 0이 아니라면 Model(1)이 적절한 모형이 됩니다.
이 Test 또한 직관적으로 이해하실 수 있으실 겁니다.
다만 이러한 Nonnested Model Testing에도 몇 가지 문제점이 있습니다.
문제점까진 아니고.. 한계점이죠.

만약 두 모델 모두 Reject되는 상황이 발생할 수 있습니다.
즉 Model(1)에서 Model(2)의 fitted value의 회귀계수가 유의하게 0이 아니고, 반대 상황도 동일하다면 두 Model 모두 적절하지 않다는 의미겠죠.
이런 경우엔 함수의 형태를 linear form이나 logarithm form이 아닌 다른 형태를 추가적으로 취해줄 필요가 있겠으며,
혹은 가능하다면 설명변수를 추가하는 등 True Model을 적절하게 추정하기 위한 새로운 작업이 필요합니다.
혹은 두 모델 모두 Reject되지 않는 상황이 발생할 수도 있죠.
이는 두 모델 모두 나름대로 적절하다는 겁니다. (좋은 걸까요? ㅎㅎ)
이때는 어느 모형을 선택할지 연구자가 결정해야 하는데요.
Adjusted R²가 큰 모델을 선택하는 것도 하나의 방법이 될 수 있겠죠.
만약 모형에서 중요하게 보는 설명변수 X의 y에 대한 영향이 두 모델 모두 비슷하다면, 어느 모형을 써도 큰 차이는 없을 것으로 사료됩니다.
이러한 경우엔 나름의 타당한 근거를 갖고 어느 모형을 선택할지 결정하면 될 것으로 보입니다.

그리고 Model(1)이 Reject된다고 Model(2)가 정답이라는 건 아닙니다.
사실 우리가 고려하지 못한 다른 Non-linear 관계가 있을 수도 있고, 제3, 제4의 형태가 있을 수도 있죠.
다만 현 시점(모형을 2개 놓고 고민한다고 가정)에서는 Model(1)이 Reject된다면 Model(2)가 적절한 모형이라고 이해해도 무방해보입니다.
그리고 당연한 소리지만... 반응변수 y의 형태가 다른 경우는 비교할 수 없습니다.
같은 y에 대해서 다른 형태를 갖는 X들로 추정했을 때 비교 가능한 상황을 가정하고 있으니 참고하시기 바랍니다.
감사합니다.
잘 읽으셨다면 게시글 하단에 ♡(좋아요) 눌러주시면 감사하겠습니다 :)
(구독이면 더욱 좋습니다 ^_^)
- 간토끼(DataLabbit)
- University of Seoul
- Economics, Data Science
'Statistics > Econometrics' 카테고리의 다른 글
| [계량경제학] Measurement Error in the Independent Variable (0) | 2020.12.14 |
|---|---|
| [계량경제학] Measurement Error in the Dependent Variable (0) | 2020.11.03 |
| [계량경제학] Proxy Variable(대리변수) (0) | 2020.10.26 |
| [계량경제학] Ramsey RESET test (0) | 2020.10.24 |
| [계량경제학] 함수 형태의 설정 오류 문제(Functional Form Misspecification) (0) | 2020.10.22 |
