안녕하십니까, 간토끼입니다.
이번 카테고리 Econometrics에서는 계량경제학에 관한 여러 주제들을 다뤄볼 예정입니다.
다만 계량경제학의 앞부분보다는 뒷부분의 Topic들을 주로 다뤄볼 예정인데요.
일반적으로 학부 수업 기준으로 계량경제학2, 고급계량연습 등으로 개설되고 있는 것으로 알고 있습니다.
(사실 제가 고급계량연습 수업을 듣고 있어서 수업 내용을 정리하고자 ㅎㅎ)
사실 계량경제학의 앞부분은 단순회귀모형, 다중회귀모형에 대한 베이직한 내용들을 다루고 있는데,
이는 어떻게 보면 통계학과의 회귀분석 강의와 내용이 많이 비슷해서요. 그래서 굳이 이 카테고리에서는 앞부분 내용은 다루지 않겠습니다.
계량경제학의 앞부분 내용은 Regression Analysis 카테고리 에서 다루고 있으니 참고하시기 바랍니다.
다만 다중회귀모형에 대한 논의가 지나면 회귀분석 강의와 계량경제학 강의의 초점이 다소 달라집니다.
통계학의 회귀분석이 중점을 두는 부분은 추정, 잔차분석 등을 바탕으로 보다 나은 모형을 찾아나가는 방법,
경제학의 계량경제학이 중점을 두는 부분은 회귀분석이란 방법론을 이용해 경제적 직관을 바탕으로 한 자료의 해석 등이라고 생각합니다.
그래서 회귀분석이란 공통된 Topic을 다루더라도 초점이 달라서 계량경제학 카테고리를 따로 만들었습니다.
각설하고 이번 포스팅에서는 다중회귀모형에서 함수 형태를 잘못 설정하였을 때 발생하는 문제들에 대해 다뤄보도록 하겠습니다.

# 함수 형태의 설정 오류(Functional Form Misspecification) 문제

Functional Form Misspecification 문제는 말 그대로 함수의 형태를 잘못 설정하여 반응변수 Y를 잘 설명하지 못하는 문제를 말합니다.
다음과 같은 임금 방정식(Wage Equation)의 예를 생각해보죠.

반응변수 log(wage)를 설명하는 True Model이 위와 같다고 가정합시다.
설명변수 X는 교육수준(Edu), 경력(Exper), 그리고 경력(Exper)에 Quadratic Form을 취한 3개의 변수라고 하죠.
이때 만약 Exper의 제곱항을 모형에서 뺀 채로 log(wage)를 추정하면 어떻게 될까요?
만약 그렇다면, 추정된 모형으로부터 얻어진 OLS 추정량들은 편향(Bias)을 갖게 됩니다.

혹은 반응변수 Y를 log(wage) 대신 그냥 wage로 설정하며 모형을 추정해도 OLS 추정량에 Bias가 발생합니다.
왜 이러한 문제가 나타날까요?

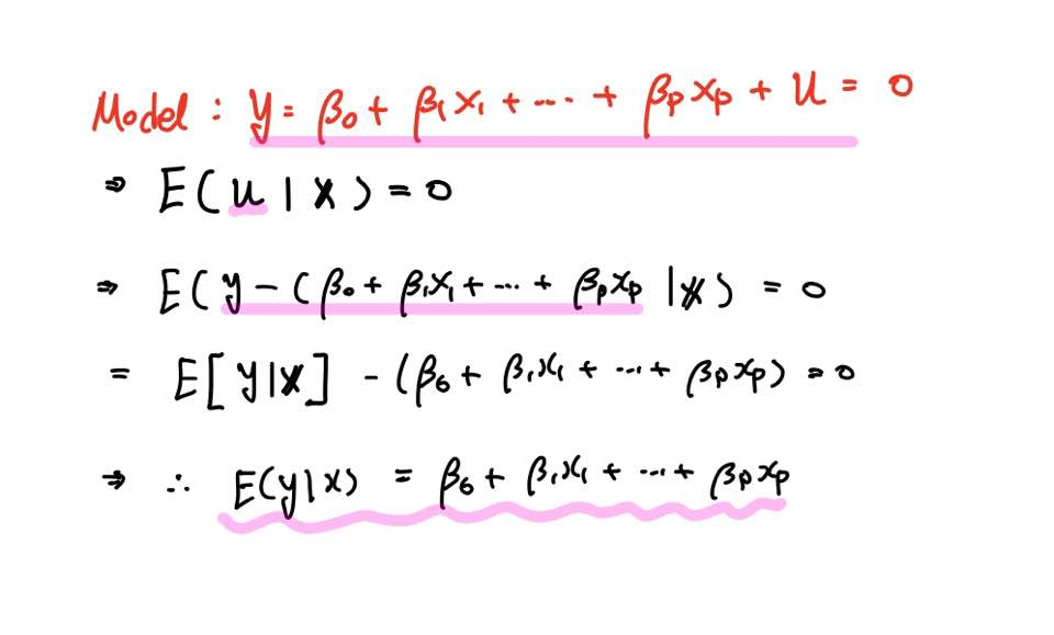
이를 파악하기 위해 다중회귀모형의 4번째 가정 E(e | X) = 0 이라는 Zero Conditional Mean 가정을 떠올려봅시다.
만약 MLR.4 가정이 성립하지 않는다면 OLS 추정량들은 불편성과 일치성 모두 만족할 수 없다고 했었는데요.

만약 오차항에 대한 Zero Conditional Mean 가정이 성립한다면, 위와 같이 x에 대한 y의 조건부 기댓값을 나타낼 수 있습니다.

이때 p번째 설명변수 X_p 대신 log(X_p)를 X_p 자리에 넣어서 추정하면 어떤 결과가 발생할까요?
당연히 True Model과 맞지 않는 변수를 넣어 모형을 추정했으므로, 추정한 결과가 정확할 리 없죠.
이러한 개념 하에서 함수의 형태를 잘못 설정하여 모형을 추정하는 Functional Form Misspecification 문제가 발생할 경우 OLS 추정량들은 Bias를 갖게 된다는 것입니다.
따라서 우리가 제대로 된 함수의 형태를 사용했는지 살펴보기 위해서는 어떻게 해야 할까요?

바로 현재 추정한 모형에서 유의한 설명변수(Significant Variable)에 Non-linear Form인 로그 변환이나 Polynomial Form을 취해준 후 모형에 넣어 추정함으로써 유의한지, 유의하지 않은지 파악해보는 것입니다.
만약 기존 모형에서 통계적으로 유의했던 설명변수 X_p를 log(X_p)로 대체하여 모형에 넣어봤더니,
log(X_p)의 회귀계수가 Significant하게 나온다면, X_p와 Y는 어떠한 비선형(Non-Linear) 관계가 있음을 파악할 수 있다는 것이죠.
물론 그러한 비선형 관계가 정확히 로그 형태를 취하는지, 혹은 지수의 형태를 취하는지는 정확히 알 수 없습니다.
이러한 점이 한계라고 할 수 있습니다.
다만 비선형 관계가 존재한다는 것을 파악했기 때문에, 기존에 설정하였던 선형 관계 하의 모델과 비교했을 때 어떤 모델이 나은 모델인지에 대한 검정을 할 필요는 있겠죠.
우리는 모집단으로부터 얻어진 미지의 모형인 True Model을 보다 정확하게 추정하는 Model을 찾아야하니깐요.
따라서 다음 포스팅에서는 이를 탐색하는 기법인 RESET Test에 대해 다뤄보도록 하겠습니다.
감사합니다.
잘 읽으셨다면 게시글 하단에 ♡(좋아요) 눌러주시면 감사하겠습니다 :)
(구독이면 더욱 좋습니다 ^_^)
- 간토끼(DataLabbit)
- University of Seoul
- Economics, Data Science
'Statistics > Econometrics' 카테고리의 다른 글
| [계량경제학] Measurement Error in the Independent Variable (0) | 2020.12.14 |
|---|---|
| [계량경제학] Measurement Error in the Dependent Variable (0) | 2020.11.03 |
| [계량경제학] Proxy Variable(대리변수) (0) | 2020.10.26 |
| [계량경제학] Test Against Nonnested Alternatives (4) | 2020.10.24 |
| [계량경제학] Ramsey RESET test (0) | 2020.10.24 |
