Review
참고 포스팅 :
2020/10/10 - [Statistics/Regression Analysis] - [회귀분석] 최소제곱추정량 β1를 선형 추정량으로 유도하기
[회귀분석] 최소제곱추정량 β1를 선형 추정량으로 유도하기
Review 참고 포스팅 : 2020/09/18 - [Statistics/Regression Analysis] - [회귀분석] 최소제곱법(Least Square Method)을 이용해 최소제곱추정량(LSE) 유도 안녕하십니까, 간토끼입니다. 이전 포스팅에서 최소제곱..
datalabbit.tistory.com
2020/10/13 - [Statistics/Regression Analysis] - [회귀분석] 최소제곱추정량 β1의 기댓값, 분산 유도
[회귀분석] 최소제곱추정량 β1의 기댓값, 분산 유도
Review 참고 포스팅 : 2020/10/10 - [Statistics/Regression Analysis] - [회귀분석] 최소제곱추정량 β1를 선형 추정량으로 유도하기 [회귀분석] 최소제곱추정량 β1를 선형 추정량으로 유도하기 Review 참고 포..
datalabbit.tistory.com
안녕하십니까, 간토끼입니다.
이전 포스팅에서 단순회귀분석의 기울기 계수인 최소제곱추정량 β1에 대해 기댓값과 분산을 유도해보았었습니다.
생각해보니 β1만 유도하고 β0는 유도를 안했더라고요.
시험도 끝났고 겸사겸사 정리도 할 겸 β0의 기댓값, 분산 유도 과정에 대해 다뤄보겠습니다.
다만 위 두 포스팅을 읽으셨다는 가정하에 다루고 있으니, 꼭 읽고 와주시기 바랍니다.

마찬가지로 β0 또한 β1처럼 선형추정량(Linear Estimator)의 형태로 유도해줘야 합니다.
다만 이전 포스팅을 읽으셨더라면 무리없이 따라오실 수 있는 난이도입니다.
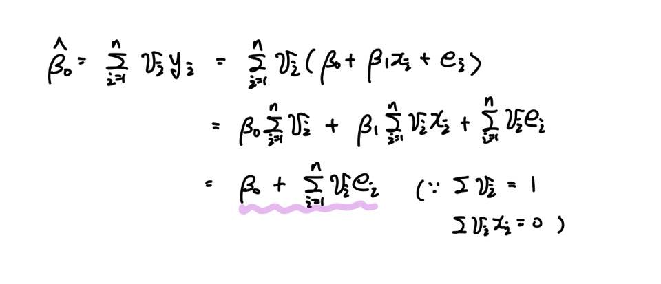
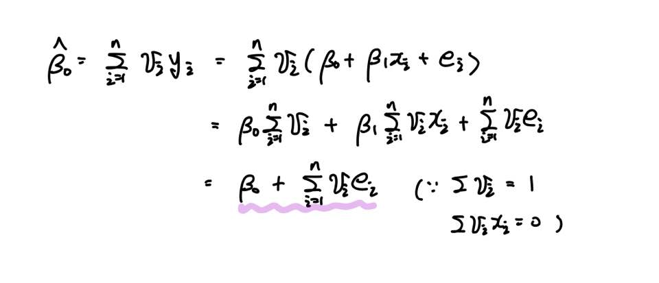
1. β0을 선형추정량(Linear Estimator) 형태로 나타내기

앞선 β1에서 wi라는 비확률변수 x에 의존하는 상수항을 유도하여 이용했던 것처럼,
v라는 상수항을 이용하겠습니다.
v 또한 마찬가지로 비확률변수인 x에 의존하고 있으므로, 비확률적입니다.
그러므로 기댓값(Expectation), 분산(Variance) 등에 걸리지 않죠. 확률변수가 아니니깐요.

이를 앞선 β1의 경우와 마찬가지로, 모수(Parameter) β0에 오차항을 더한 꼴로 나타내보겠습니다.
즉 β0의 추정량 β^은 모수(Parameter) β0과 ∑viei만큼 차이가 있다는 것을 알 수 있죠.
이를 이용해 기댓값과 분산을 유도해보겠습니다.
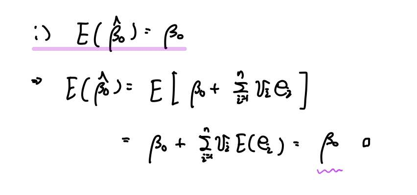
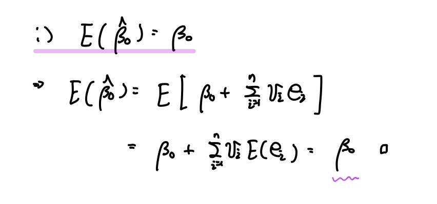
2. β0의 추정량의 기댓값

매~우 간단하게 불편추정량임을 보일 수 있습니다.
어렵지 않죠?
흠 근데 분산은 식이 조금 깁니다.
한번 보시죠.
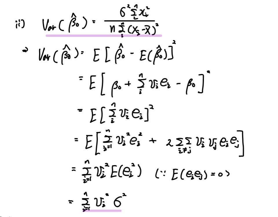
3. β0의 추정량의 분산

앞선 포스팅을 제대로 이해하셨다면 각 전개 과정이 잘 이해되실 겁니다.
그래서 굳이 설명은 하진 않겠습니다.
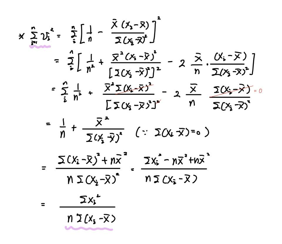
다만 마지막 줄에서 ∑v^2는 전개 과정이 조금 어려우실 수도 있을 것 같아서요.
따로 깊게 살펴볼게요.

조금 길긴 한데... 혼자서 한번만 유도 과정을 따라 적어보시면 금방 이해되실 겁니다.
복잡해보이기만하고 어렵진 않습니다.
그래서! 굳이 설명은 안하겠습니다.

이렇게 위 과정을 거치면 다음과 같이 분산을 유도할 수 있습니다.
음 ... 다음 포스팅은 뭘 다뤄볼까요.
아! 원점을 지나는 회귀직선에 대해 다뤄봐야겠군요.
항상 제 블로그에 찾아주셔서 감사합니다.
요즘 시험기간이라 그런지 회귀분석 시리즈 글이 인기가 많네요 ㅎㅎ
감사합니다.
잘 읽으셨다면 게시글 하단에 ♡(좋아요) 눌러주시면 감사하겠습니다 :)
(구독이면 더욱 좋습니다 ^_^)
- 간토끼(DataLabbit)
- University of Seoul
- Economics, Big Data Analytics
'Statistics > Regression Analysis' 카테고리의 다른 글
| [회귀분석] 가설검정의 기초 개념 (0) | 2022.03.03 |
|---|---|
| [회귀분석] 원점을 지나는 회귀모형(Regression Through The Origin) (8) | 2020.10.21 |
| [회귀분석] 가우스-마르코프 정리(Gauss-Markov Theorem) 증명 (16) | 2020.10.14 |
| [회귀분석] 최소제곱추정량 β1의 기댓값, 분산 유도 (5) | 2020.10.13 |
| [회귀분석] 최소제곱추정량 β1를 선형 추정량으로 유도하기 (8) | 2020.10.10 |
