Review
참고 포스팅 :
2020/10/10 - [Statistics/Regression Analysis] - [회귀분석] 최소제곱추정량 β1를 선형 추정량으로 유도하기
[회귀분석] 최소제곱추정량 β1를 선형 추정량으로 유도하기
Review 참고 포스팅 : 2020/09/18 - [Statistics/Regression Analysis] - [회귀분석] 최소제곱법(Least Square Method)을 이용해 최소제곱추정량(LSE) 유도 안녕하십니까, 간토끼입니다. 이전 포스팅에서 최소제곱..
datalabbit.tistory.com
2020/10/13 - [Statistics/Regression Analysis] - [회귀분석] 최소제곱추정량 β1의 기댓값, 분산 유도
[회귀분석] 최소제곱추정량 β1의 기댓값, 분산 유도
Review 참고 포스팅 : 2020/10/10 - [Statistics/Regression Analysis] - [회귀분석] 최소제곱추정량 β1를 선형 추정량으로 유도하기 [회귀분석] 최소제곱추정량 β1를 선형 추정량으로 유도하기 Review 참고 포..
datalabbit.tistory.com
안녕하십니까, 간토끼입니다.
지난 포스팅에서 최소제곱추정량을 선형 추정량으로 표현하고, 이를 이용해 기댓값과 분산을 유도했었죠.
이번 포스팅에서는 단순회귀분석의 가정을 만족할 경우 우리가 구한 최소제곱추정량이 BLUE(Best Linear Unbiased Estimator)라는 것을 보이는 가우스-마르코프 정리(Gauss-Markov Theorem)을 증명해보이겠습니다.

가우스-마르코프 정리는 다른 말로 가우스-마코프 정리라고도 합니다.
마르코프라는 학자를 읽는 방법이 조금씩 달라서 그런 것 같아요.
편한대로 생각하시면 됩니다.
각설하고 가우스-마르코프 정리를 보이기 위해서는 먼저 회귀모형이 회귀분석의 기본 가정을 만족한다고 가정해야 합니다.
(가정을 만족한다고 가정? ㅎㅎ)

다시 한번 살펴보면 이와 같습니다.
이전에 한번 다뤘었는데요. => 링크(단순회귀분석의 개념)
그래서 굳이 설명은 안하고 넘어가겠습니다.

가우스-마르코프 정리는 이러한 회귀분석의 가정이 성립할 때 최소제곱추정량이 가장 작은 분산을 갖는 효율적인 추정량임을 말하는 것입니다.
BLUE(Best Linear Unbiased Estimator)라는 말처럼 선형 불편추정량 중 제일 최고(Best)라는 거죠.

이를 보이기 위해 OLS추정량 β^이 아닌 다른 선형불편추정량 β*가 있다고 가정하겠습니다.
이 β*는 β^와 유사하게 y의 가중평균꼴로 표현되며, 이때의 ki 또한 임의의 상수라고 가정합니다.
즉, 임의의 상수이므로 ki는 기존 wi에 ci라는 또 다른 상수를 더한 꼴로 표현을 해도 무리는 없겠죠.
그렇다면 β*은 다음과 같이 나타낼 수 있습니다.

이때 앞선 포스팅에서 다루었던 w의 성질을 이용합니다. (못 보신 분들은 이전 포스팅을 참고해주세요.)
그러면 β*은 (1)번과 같은 식이 됩니다.

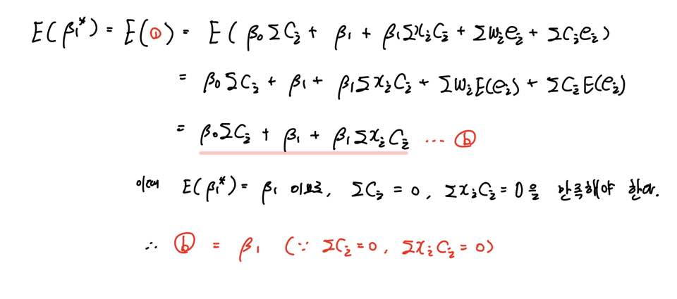
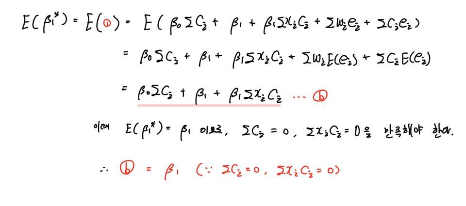
이때 우리가 위에서 가정하고 넘어간 게 있습니다.
바로 β*은 β의 또 다른 선형불편추정량 중 하나라는 거였죠.
그렇기에 불편성을 만족하므로, β*의 기댓값은 β이 됩니다.

따라서 (1)식에 기댓값을 취해주면 β가 돼야 하기 때문에,
∑ci = 0, ∑xici = 0 이 돼야 함을 자연스럽게 유도할 수 있습니다.

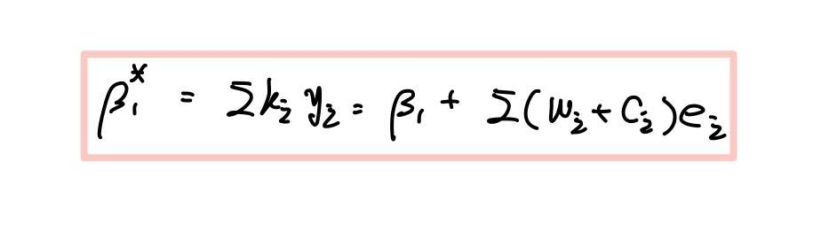
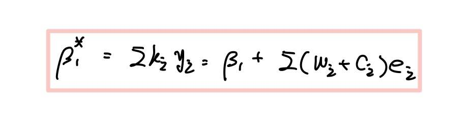
위에서 유도한 ∑ci = 0, ∑xici = 0 을 바탕으로 β*을 다시 정의하면 위와 같습니다.
핵심은 β* 또한 OLS 추정량 β^과 마찬가지로 모수 β에 오차항이 더해진 꼴로 나타낼 수 있다는 것이죠.

다시 쓰면 이와 같습니다.
이제 β*와 β^의 분산을 비교하여 누구의 분산이 더 작은지 비교해봅시다.
우리는 임의의 모수(Parameter)에 대한 여러 추정량 중 분산이 더 작은 추정량을 효율적인 추정량이라고 불렀습니다.
그래서 둘 중 어느 추정량이 더 효율적인 추정량인지 보이면 되는 것입니다.

따라서 OLS추정량이 아닌 다른 선형 불편추정량 β*들은 최소제곱 추정량 β^의 분산보다 더 크거나 같은 분산을 갖는다고 할 수 있습니다.
만약 β*에서 상수항 ci가 모든 i에 대해 0이라면 두 추정량의 분산은 같아지겠죠.
이 경우 β* = β^ 가 됩니다.
따라서 OLS추정량 β^보다 나은 β의 다른 선형불편추정량은 존재하지 않으며 이로써 가우스-마르코프 정리를 증명하였습니다.
감사합니다.
잘 읽으셨다면 게시글 하단에 ♡(좋아요) 눌러주시면 감사하겠습니다 :)
(구독이면 더욱 좋습니다 ^_^)
- 간토끼(DataLabbit)
- University of Seoul
- Economics, Big Data Analytics
'Statistics > Regression Analysis' 카테고리의 다른 글
| [회귀분석] 원점을 지나는 회귀모형(Regression Through The Origin) (8) | 2020.10.21 |
|---|---|
| [회귀분석] 최소제곱추정량 β0의 기댓값, 분산 유도 (12) | 2020.10.20 |
| [회귀분석] 최소제곱추정량 β1의 기댓값, 분산 유도 (5) | 2020.10.13 |
| [회귀분석] 최소제곱추정량 β1를 선형 추정량으로 유도하기 (8) | 2020.10.10 |
| [회귀분석] 결정계수(R²; Coefficient of Determination) (6) | 2020.10.06 |
