안녕하십니까, 간토끼입니다.
이번 포스팅에서는 이산확률분포인 이항분포를 다루기 전에 개념 보충을 하고자 순열과 조합을 다뤄보도록 하겠습니다.
고등학교 확률과통계 교과목에서 배우기야 하겠지만 그래도 찜찜해서요.
아주 간단하게만 짚고 넘어 가겠습니다.

일상 생활하면서 순서가 있는 경우의 수를 구할 일이 생각보다 많습니다.
단적인 예로 사람을 줄 세울 때도 순서를 고려해야 하겠으며,
랜덤으로 과대 / 부과대를 뽑으려고 할 때도 순서를 고려해야 합니다.
왜냐하면 홍길동이 과대고 성춘향이 부과대인 경우와, 성춘향이 과대고 홍길동이 부과대인 경우는 엄연히 다른 문제이기 때문이며, 이러한 차이는 '순서'가 다르기 때문에 발생합니다.
이렇듯 서로 다른 n개 중 k개를 뽑아 순서를 고려해 나란히 늘어놓는 것을 순열(Permutation)이라고 합니다.
먼저 간단한 예시인 5명을 한 줄로 세우는 경우의 수를 구해보시죠.

먼저 첫 번째 자리에 5명 중 아무나 1명을 배치시킵니다.
누구나 들어갈 수 있으니, 첫 번째 자리에 들어갈 경우의 수는 5가 되겠네요.
누군진 모르겠지만 임의의 한 명을 고정시켰으니, 두 번째 자리는 자연스럽게 4명만 들어갈 수 있다는 것을 알 수 있으실 겁니다.
이렇듯 한 자리, 한 자리를 고정시키다보면 점점 경우의 수는 하나씩 줄어들게 될 거고, 결국 마지막 자리는 최후의 1명만 남게 되겠죠.
이 각각의 자리를 배치하는 사건은 동시에 일어나므로 곱의 법칙에 의해 모든 수 5, 4, 3, 2, 1을 곱해줘야겠죠?
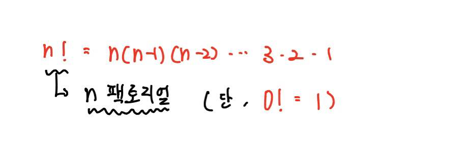
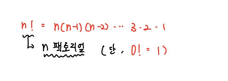
이를 우리는 계승(Factorial)이라고 부릅니다.
계승, 다른 말로 팩토리얼은 1부터 임의의 양의 정수 n까지 모두 곱해준 것을 말합니다.

만약 5명 모두 줄 세우는 것이 아니라, 5명 중 3명만 뽑아서 순서대로 줄을 세운다면 어떨까요?

가볍게 응용하면 되겠죠.
그냥 뒷자리 2개가 사라진 것을 제외하면 앞의 문제와 똑같습니다.
우리는 이를 순열(Permutation)이라고 부릅니다.

5명 중 3명을 줄 세우는 것이므로, 5P3이라고 표기합니다.
그렇다면 다시 n명의 사람 중에서 k명의 사람을 고르지만, 순서와 상관없이 '고르기만 한다'고 가정합시다.
즉, (A B C)와 (C B A)는 위의 순열에서는 엄연히 다른 Set이지만, 이번에는 같은 Set으로 간주한다는 것입니다.

그렇다면 뽑는 방법은 몇 가지일까요?
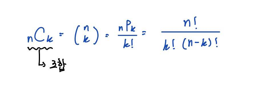
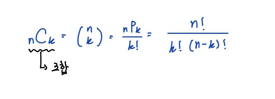
우리는 이를 조합(Combination)이라고 부릅니다.

조합의 기호는 좌측 1번째 기호로도 많이 사용하지만, 2번째 기호로도 많이 사용합니다.
통계학 책을 읽다 보면 심심치 않게 나오니 기호도 잘 익혀두시기 바랍니다.
다음 포스팅에서는 이 조합의 개념을 이용해 베르누이 분포와 이항 분포에 대해서 다뤄보겠습니다.
감사합니다.
잘 읽으셨다면 게시글 하단에 ♡(좋아요) 눌러주시면 감사하겠습니다 :)
(구독이면 더욱 좋습니다 ^_^)
- 간토끼(DataLabbit)
- University of Seoul
- Economics, Big Data Analytics
'Statistics > Basic Statistics' 카테고리의 다른 글
| [기초통계학] 이산확률분포 - 베르누이 분포, 이항분포 (6) | 2020.09.08 |
|---|---|
| [기초통계학] 확률밀도함수와 확률분포함수 (6) | 2020.09.07 |
| [기초통계학] 체비셰프 부등식(Chebyshev Inequality) (3) | 2020.06.24 |
| [기초통계학] 마르코프 부등식(Markov Inequality) (2) | 2020.05.26 |
| [기초통계학] 확률(Probability) 3 - 베이즈 정리(Bayes’ theorem) (2) | 2020.05.25 |
