Review
# 해당 포스팅은 KOCW 김충락 교수님의 수리통계학 강의와 Hogg의 수리통계학개론(Introduction to Mathematical Statistics)를 기초로 작성되었습니다.
안녕하십니까, 간토끼입니다.
이번 포스팅에서는 집합의 성질을 좀 더 다뤄보고, 이를 바탕으로 불의 부등식(Boole's Inequality)를 다뤄보겠습니다.

잠시 용어를 정립하고 넘어가겠습니다.

임의의 $i \, \neq\, j$에 대하여, 집합 $C_{i}$ 와 $C_{j}$ 의 교집합이 공집합이라면,
$$ C_{i} \cap C_{j} = \varnothing, \forall i \neq j $$
이를 Mutually Exclusive 라고 합니다. 번역하면 상호 배반적인 관계 입니다.
이때 Mutually Exclusive한 집합들의 합집합(Union)이 Sample Space를 이룬다면, 이를 Collectively Exhaustive 하다고 합니다.
$$ C_{1} \cup C_{2} \cup \cdots = \bigcup_{i=1}^{\infty} = C $$
우리 말로는 전체 포괄적인 관계라고 하는데 ... 어색하네요. 그냥 Exhaustive하다고 합시다.
그리고 이러한 사건의 모임은 Sample Space $C$ 의 분할(Partition)을 형성한다고 합니다.
자 본론으로 돌아와서 예전 포스팅에서 다뤘던 단조 집합열에 대해 잠깐 짚고 넘어가보죠.
지난 포스팅에서 단조(Monotone) 집합열에 대해 다뤘었는데요.

모든 $n$ 에 대해서 $A_{n} \, \subset \, A_{n+1}$ 관계가 성립하면 사건열 ${A_{n}}$은 비감소, 즉 증가열(Increasing Set)이라고 정의할 수 있었습니다.
물론 Decreasing set에 대해서도 마찬가지로 보일 수 있겠죠.
이때 사건열에 확률을 취한 $P(A_{n})$에 limit를 취한 $\lim P(A_{n})$에 대하여, 확률 $P$ 와 $\lim$ 를 바꿔도 결과가 동일할까요?

이를 보이는 것을 확률의 연속 정리라고 합니다.
만약 집합열 ${ C_{n} }$가 increasing set이라면,
사건열에 확률을 취한 $ P(C_{n}) $에 limit를 취한 $\lim_{n \to \infty} P(C_{n})$ 에 대하여, 확률 P와 lim를 바꿔도 결과가 동일함을 보일 수 있습니다.
$$ \lim_{n \to \infty} P(C_{n}) = P( \lim_{n \to \infty} C_{n} ) = P( \bigcup_{n=1}^{\infty} C_{n}) $$

위 증명 과정에 의해 같음을 보일 수 있습니다.
$ R_n $이라는 새로운 notation을 도입합니다.
$$ Let \,\,\, R_1 = C_1, R_{n} = (C_{n} \cap C_{n-1}^{c} ) $$
$$ Then \,\,\, \bigcup_{n=1}^{\infty} C_{n} = \bigcup_{n=1}^{\infty} R_{n}, \,\,\, \forall \,\, m \neq n \,\,\, R_{m} \cap R_{n} = \varnothing $$
$C_{n}$의 Countable Union과 $R_{n}$ 의 Countable Union이 같음을 이용하고,
확률의 세 번째 공리(Countable additivity)를 이용해 $P(R_{n})$을 변형해주는 포인트만 기억한다면 쉽게 보일 수 있습니다.
$$ P(\bigcup_{n=1}^{\infty} R_{n}) = \sum_{n=1}^{\infty} P(R_{n}) = \lim_{n \to \infty} \sum_{j=1}^{n}P(R_{j}) = \lim_{n \to \infty} [P(R_{1}) + \sum_{j=2}^{n}P(R_{j}) ] $$
$$ \lim_{n \to \infty} [P(R_{1}) + \sum_{j=2}^{n} P(R_{j}) ] = \lim_{n \to \infty} [P(R_{1}) + \sum_{j=2}^{n} [P(C_{j}) - P(C_{j-1}) ] \, ] = \lim_{n \to \infty} P(C_{n}) $$
$$ \therefore \,\,\, \lim_{n \to \infty} P(C_{n}) = P( \lim_{n \to \infty} C_{n} ) $$
어렵진 않죠?
이제 이를 이용해서 불의 부등식을 정의해보겠습니다. 부울의 부등식이라고도 합니다.
위에서 다룬 확률의 연속정리에서는 사건열이 Increasing Set, 즉 monotonous set이었는데요.
물론 Decreasing set에 대해서도 확률의 연속정리가 성립함을 보일 수 있습니다.
그렇다면 monotonous가 아닌 임의의 사건열에 대해서는 확률의 연속정리를 보일 수 있을까요?
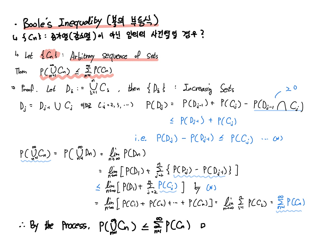
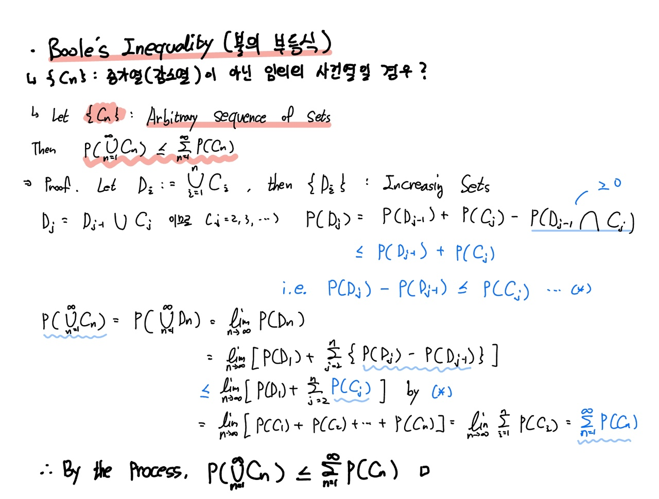
이때 필요한 게 불의 부등식(Boole's Inequality)입니다.

불의 부등식은 사건의 집합열이 monotonous set이 아닌 arbitrary set일 때 Union과 Summation의 대소를 파악할 수 있도록 도움을 주는 부등식입니다.
증명도 어렵진 않습니다.

임의의 집합 $C_{i}$ 의 Union을 $D_i$ 라고 정의하면, 이때 $D_i$는 increasing set입니다.
$$ D_1 = C_1, D_2 = C_1 \cup C_2, D_3 = C_1 \cup C_2\cup C_3, \cdots, D_{n} = C_1\cup C_2\cup \cdots \cup C_{n} $$
그러므로 $D_{j} = D_{j-1} \cup C_{j} $라고 할 수 있겠죠.
만약 $j=3$ 이라고 하면 $D_3 = C_1 \cup C_2 \cup C_3$ 인데, 이는 $D_{2} \cup C_{3} $와 같잖아요?

그래서 위 과정을 이용하면 임의의 집합열 $C_n$에 대하여 $C_n$의 Union의 확률은 각 $C_n$의 확률을 summation 한 것보다 작거나 같음을 알 수 있습니다.
이를 불의 부등식이라고 합니다.
$$ P(\bigcup_{n=1}^{\infty} C_{n} ) \leq \sum_{n=1}^{\infty} P(C_{n}) $$
뭔가 직관적으로 이해가 안 되시죠?

그냥 직관적으로 이 얘기입니다.
A∪B의 확률은 A와 B의 확률을 더한 것보다 작거나 같죠. 클리는 없으니깐요.
$$ P(A \cup B) \leq P(A) + P(B) $$
만약 A와 B가 disjoint, 즉 교집합이 공집합인 case라면 이때는 A∪B의 확률은 A와 B의 확률을 더한 것과 같죠.
$$ P( A \cup B) = P(A) + P(B) \,\,\, if \,\, A \cap B = \varnothing $$
이를 증명해보이는 것이 불의 부등식(Boole's Inequality)입니다.
다음 포스팅에서는 조건부 확률과 독립, 그리고 베이즈 정리에 대해 2번의 포스팅동안 다뤄보겠습니다.
기초통계학에서 다뤘던 주제긴 하지만, 수리통계학에서 나오는 notation 등을 좀 더 보완해서 다뤄볼게요.
감사합니다.
잘 읽으셨다면 게시글 하단에 ♡(좋아요) 눌러주시면 감사하겠습니다 :)
(구독이면 더욱 좋습니다 ^_^)
* 본 블로그는 학부생이 운영하는 블로그입니다.
따라서 포스팅에 학문적 오류가 있을 수 있으며, 이를 감안해서 봐주시면 감사하겠습니다.
- 간토끼(DataLabbit)
- B.A. in Economics, Data Science at University of Seoul
'Statistics > Mathematical Statistics' 카테고리의 다른 글
| [수리통계학] 확률변수(Random Variable ; R.V.) (2) | 2023.09.14 |
|---|---|
| [수리통계학] 조건부 확률과 베이즈 정리(Conditional Probability and Bayes Theorem) (0) | 2023.07.22 |
| [수리통계학] 확률의 성질과 포함-배제 원리(Inclusion-Exclusion Principle) (0) | 2023.07.19 |
| [수리통계학] 확률집합함수(Probability Set Function) (0) | 2023.07.07 |
| [수리통계학] 집합 이론과 시그마 필드(Set Theory and Sigma-Field) (0) | 2023.07.04 |
