Review
참고 포스팅 :
[수리통계학] 집합 이론과 시그마 필드(Set Theory and Sigma-Field)
Review # 해당 포스팅은 KOCW 김충락 교수님의 수리통계학 강의와 Hogg의 수리통계학개론(Introduction to Mathematical Statistics)를 기초로 작성되었습니다. 안녕하십니까, 간토끼입니다. 장교로 군 복무를
datalabbit.tistory.com
# 해당 포스팅은 KOCW 김충락 교수님의 수리통계학 강의와 Hogg의 수리통계학개론(Introduction to Mathematical Statistics)를 기초로 작성되었습니다.
안녕하십니까, 간토끼입니다.
지난 포스팅에서는 '확률'이라는 개념을 적용하기 위해 필요한 개념인 시그마 필드(sigma field)에 대해 다뤘습니다.
이번 포스팅에서는 표본공간 $C$ , 사건의 모임인 Sigma field에 이어 확률공간의 마지막 요소인 확률, 다른 말로 확률집합함수(Probability Set Function)에 대해 다뤄보겠습니다.

먼저 '함수'에 대해 생각해보겠습니다.

우리가 지금까지 함수라는 개념을 다뤘을 땐 주로 정의역과 공역이 모두 실수인 형태를 다뤄보셨을 겁니다.
그렇다면 정의역이 집합인 경우엔 함수의 형태가 어떻게 될까요?

크게 달라질 것 없이 notation만 좀 변경된 형태입니다.
정의역이 집합 C이고, 공역이 실수인 함수를 집합함수(Set function)라고 합니다.
종종 집합함수는 합이나 적분으로 정의됩니다.
만약 정해진 1차원의 집합 C에서 적분한 형태를 집합함수로 정의한다면 위와 같이 쓸 수 있겠습니다.
마찬가지로 집합이 1차원이 아닌 n차원이라면 중적분의 개념을 이용해 적분을 확장할 수 있겠죠.

합으로 나타낸다면 위와 같이 summation 기호를 이용해 나타낼 수 있습니다.

예시를 한번 보도록 하겠습니다.
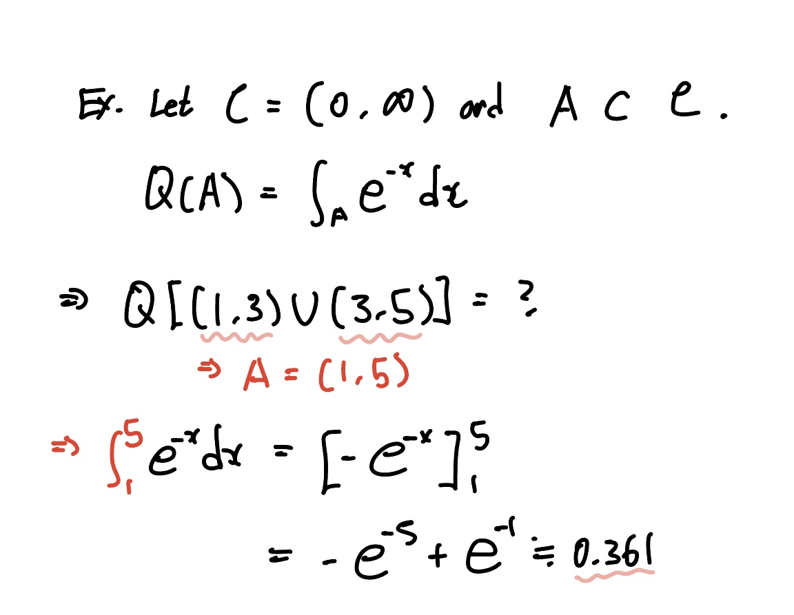
Sample space $C$ 를 양의 실수의 구간이라 하고, 이때 $A$ 라는 집합은 $C$ 의 부분집합이라고 가정하겠습니다.
적분값이 존재한다는 가정하에 집합함수 $Q(A)$ 를 $ f(x) = e^{-x}$의 집합 $A$ 에서의 적분값으로 정의해보죠.
$$ Let \,\, Q(A) = \int_{A}^{\,} e^{-x} \, dx $$
이때 $ A = (1,3) \cup (3,5) $ 라면 집합함수 $Q(A)$ 는 1부터 5까지의 실수의 구간 $ [1, 5] $ 을 적분한 값으로 구할 수 있습니다.
$$ Q(A) = \int_{1}^{5} e^{-x} \, dx = - e^{-5} + e^{-1} \, \approx \, 0.361 $$
자 그러면 확률집합함수를 정의해보죠.
표본공간 $C$ 가 있고, Sigma field인 $B$ 가 있으므로 우리는 확률공간의 3번째 요소인 확률집합함수를 정의할 수 있습니다.

Sample Space $C$ 가 정의되고, $C$ 의 sigma field인 $B$ 가 정의됐을 때, $B$ 상의 정의된 실함수를 $P$ 라고 합시다.
이때 실함수 $P$ 가 위 3가지 조건을 만족한다면 Probability Set Function이라고 할 수 있습니다.
(1) Non-negativity
Sample Space 상의 임의의 부분집합 $c$ 에 대하여 $P(c)$ 가 항상 0보다 커야 합니다.
$$ P(c) > 0 \,\, \forall \,\, c \subset C $$
직관적으로 생각했을 때 확률의 값이 0이라면 발생할 가능성이 없다고 이해할 수 있으나,
음수라면 ... 발생하지 않지 않는다? 뭔가 이상하죠? 이를 Non-negativity 라고 합니다.
(2) Normality
확률의 총합은 1입니다. 즉 Sample Space에 대한 실함수의 값은 항상 1이 돼야 합니다.
$$ P(C) = 1 , \,\, where\,\, C \,\, :\,\, Sample \,\, Space $$
만약 확률의 총합이 3.14처럼 1이 아닌 임의의 값이 된다면 해석하기 모호한 부분이 있을 겁니다.
확률의 scale을 0부터 1의 구간으로 정한다고 이해하시면 좋을 것 같습니다.
(3) Countable Additivity
만약 서로 배타적인(Mutually exclusive) 부분집합 $c_{i} \,, \,(i = 1,2,3, ...)$ 들이 sigma field 상의 부분집합일 때,
이 모임의 합집합인 Disjoint union의 함수값(확률값)은 각각의 부분집합에 대한 확률값을 모두 더한 값과 같습니다.
$$ Let \,\, c_{1}, c_{2}, \cdots \, \in B \,\, s.t. c_{m} \cap c_{n} = \varnothing \,\, \forall \,\, m \neq n $$
$$ Then \,\, P(\bigcup_{i=1}^{\infty} c_{i} ) = \sum_{i=1}^{\infty} P(c_{i}) $$
이를 Countable Additivity 성질이라고 합니다.
위 성질을 이용하면 다음과 같은 확률의 성질을 유도할 수 있겠죠.

sigma field 상의 정의된 임의의 집합 $A$ 에 대하여 $A$ 의 확률값은 1에서 $A$ 의 여사건의 확률값을 뺀 것과 같습니다.
$$ P(A) = 1 - P(A^{C}), \,\, \forall \,\, A \in B $$
간단하게 증명해보죠.
먼저 직관적으로 A와 A의 여사건의 합집합은 전체집합(Sample Space)입니다. 그리고 둘의 교집합은 공집합이죠.
그렇다면 2번째 성질인 normality에 의해 P(C)는 1임을 알 수 있고,
A와 A의 여사건은 3번째 성질인 Countable Additivity에 의해 덧셈 연산으로 나타낼 수 있습니다.
이를 통해 집합 A에 대하여 A의 확률값은 1에서 A의 여사건의 확률값을 뺀 것과 동일함을 보일 수 있습니다.
다음 포스팅에서는 이 확률의 성질을 좀 더 살펴보고,
이를 바탕으로 한 Inclusion-Exclusion Formular에 대해 다뤄보겠습니다.
감사합니다.
잘 읽으셨다면 게시글 하단에 ♡(좋아요) 눌러주시면 감사하겠습니다 :)
(구독이면 더욱 좋습니다 ^_^)
* 본 블로그는 학부생이 운영하는 블로그입니다.
따라서 포스팅에 학문적 오류가 있을 수 있으며, 이를 감안해서 봐주시면 감사하겠습니다.
- 간토끼(DataLabbit)
- B.A. in Economics, Data Science at University of Seoul
'Statistics > Mathematical Statistics' 카테고리의 다른 글
| [수리통계학] 확률변수(Random Variable ; R.V.) (2) | 2023.09.14 |
|---|---|
| [수리통계학] 조건부 확률과 베이즈 정리(Conditional Probability and Bayes Theorem) (0) | 2023.07.22 |
| [수리통계학] 불의 부등식(Boole's Inequality) (0) | 2023.07.21 |
| [수리통계학] 확률의 성질과 포함-배제 원리(Inclusion-Exclusion Principle) (0) | 2023.07.19 |
| [수리통계학] 집합 이론과 시그마 필드(Set Theory and Sigma-Field) (0) | 2023.07.04 |
